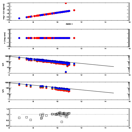
Left plots: red are targets, blue are telluric. Observed mags are calculated from median value of green chip. Zeropoint gives overall throughput: bigger number is more throughput.
First spatial plots: circles are objects, squares are tellurics, crosses are sky fibers. Colors give deviation of observed mag from expected 2MASS mag using the median zeropoint; red is brighter
Second spatial plots: circles are sky fibers. Colors give sky line brightness relative to plate median sky line brightness
FrameNreadsZeropointsMag plots Spatial mag deviation Spatial sky 16325A emission deviations (filled: sky, open: star) Spatial sky continuum emission Spatial sky telluric CO2 absorption deviations (filled: H < 10)
0 0
RedGreenBlue
z17.64
znorm Inf
sky -Inf -Inf -Inf
S/N 16.1 26.3 28.8
S/N(c) 0.0 0.0 0.0
SN(E/C) 1.02

IPAIRNAMESHIFTNEWSHIFTS/N NAMESHIFTNEWSHIFTS/N
0 08430071 0.492614 0.00000 17.4422 08430073 0.00135610 0.491258 17.2610
1 08430075 0.489289 0.00332502 18.4433 08430077 0.00319494 0.489419 18.8543
2 08430076 0.489934 0.00268000 18.3843 08430074 0.00246474 0.490149 18.1663
3 08430072 0.492581 3.29912e-05 17.4768 08430070 0.00000 0.492614 18.0175