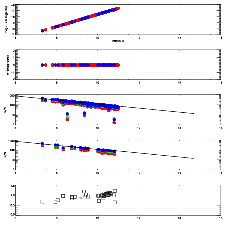
Left plots: red are targets, blue are telluric. Observed mags are calculated from median value of green chip. Zeropoint gives overall throughput: bigger number is more throughput.
First spatial plots: circles are objects, squares are tellurics, crosses are sky fibers. Colors give deviation of observed mag from expected 2MASS mag using the median zeropoint; red is brighter
Second spatial plots: circles are sky fibers. Colors give sky line brightness relative to plate median sky line brightness
FrameNreadsZeropointsMag plots Spatial mag deviation Spatial sky 16325A emission deviations (filled: sky, open: star) Spatial sky continuum emission Spatial sky telluric CO2 absorption deviations (filled: H < 10)
0 0
RedGreenBlue
z17.64
znorm Inf
sky -Inf -Inf -Inf
S/N 22.4 33.4 35.6
S/N(c) 0.0 0.0 0.0
SN(E/C) 0.97

IPAIRNAMESHIFTNEWSHIFTS/N NAMESHIFTNEWSHIFTS/N
0 08460111 0.491584 0.00000 18.2539 08460105 0.00000 0.491584 18.3166
1 08460106 0.488281 0.00330299 18.5133 08460112 0.00600972 0.485574 18.6331
2 08460110 0.489818 0.00176600 18.4964 08460108 0.00586267 0.485721 18.3753
3 08460107 0.490292 0.00129199 18.2776 08460109 0.00556157 0.486022 18.3560