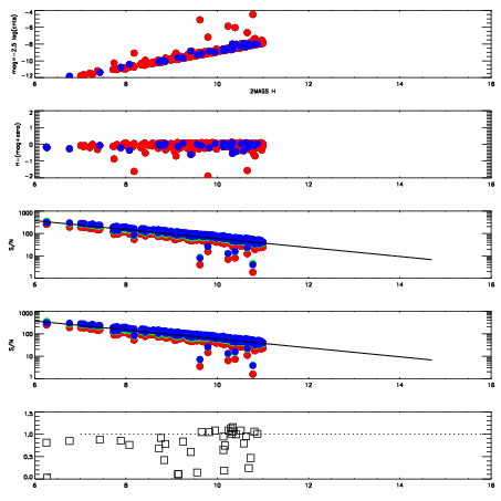
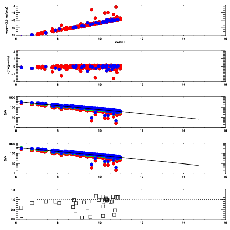
Left plots: red are targets, blue are telluric. Observed mags are calculated from median value of green chip. Zeropoint gives overall throughput: bigger number is more throughput.
First spatial plots: circles are objects, squares are tellurics, crosses are sky fibers. Colors give deviation of observed mag from expected 2MASS mag using the median zeropoint; red is brighter
Second spatial plots: circles are sky fibers. Colors give sky line brightness relative to plate median sky line brightness
FrameNreadsZeropointsMag plots Spatial mag deviation Spatial sky 16325A emission deviations (filled: sky, open: star) Spatial sky continuum emission Spatial sky telluric CO2 absorption deviations (filled: H < 10)
8700063 47
RedGreenBlue
z18.74
znorm14.56
sky 14.7 14.6 14.3
S/N 14.7 21.9 23.4
S/N(c) 19.4 26.1 15.1
SN(E/C) 0.86
8700064 47
RedGreenBlue
z18.86
znorm14.68
sky 14.5 14.4 14.3
S/N 15.9 23.2 25.0
S/N(c) 20.3 27.4 15.8
SN(E/C) 0.85