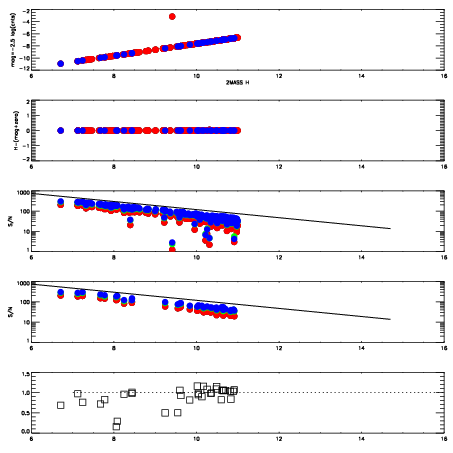
Left plots: red are targets, blue are telluric. Observed mags are calculated from median value of green chip. Zeropoint gives overall throughput: bigger number is more throughput.
First spatial plots: circles are objects, squares are tellurics, crosses are sky fibers. Colors give deviation of observed mag from expected 2MASS mag using the median zeropoint; red is brighter
Second spatial plots: circles are sky fibers. Colors give sky line brightness relative to plate median sky line brightness
FrameNreadsZeropointsMag plots Spatial mag deviation Spatial sky 16325A emission deviations (filled: sky, open: star) Spatial sky continuum emission Spatial sky telluric CO2 absorption deviations (filled: H < 10)
0 0
RedGreenBlue
z17.64
znorm Inf
sky -Inf -Inf -NaN
S/N 12.9 21.6 22.5
S/N(c) 0.0 0.0 0.0
SN(E/C) 0.98

IPAIRNAMESHIFTNEWSHIFTS/N NAMESHIFTNEWSHIFTS/N
0 08790011 0.477427 0.00000 15.9775 08790010 0.00000 0.477427 15.0689
1 08790012 0.476353 0.00107402 17.8863 08790014 0.000152011 0.477275 18.3319
2 08790015 0.475629 0.00179800 17.3574 08790017 0.000499309 0.476928 18.1682
3 08790016 0.476082 0.00134501 16.9541 08790013 0.000722272 0.476705 17.7426