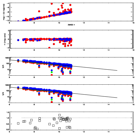
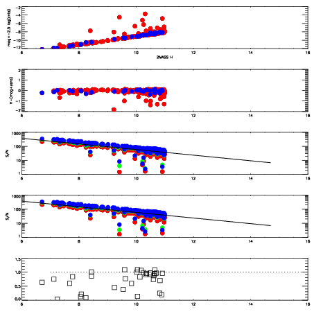
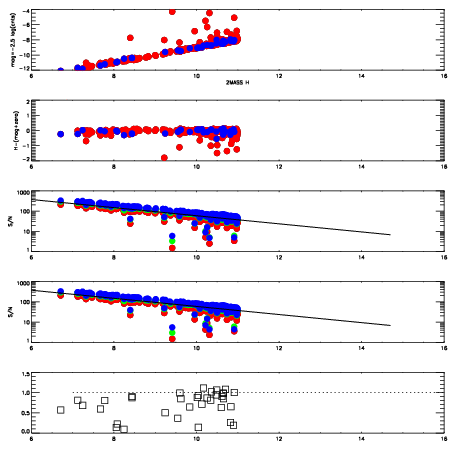
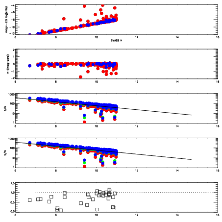
Left plots: red are targets, blue are telluric. Observed mags are calculated from median value of green chip. Zeropoint gives overall throughput: bigger number is more throughput.
First spatial plots: circles are objects, squares are tellurics, crosses are sky fibers. Colors give deviation of observed mag from expected 2MASS mag using the median zeropoint; red is brighter
Second spatial plots: circles are sky fibers. Colors give sky line brightness relative to plate median sky line brightness
FrameNreadsZeropointsMag plots Spatial mag deviation Spatial sky 16325A emission deviations (filled: sky, open: star) Spatial sky continuum emission Spatial sky telluric CO2 absorption deviations (filled: H < 10)
8800035 47
RedGreenBlue
z19.08
znorm14.90
sky 14.3 14.2 14.1
S/N 18.3 26.3 29.0
S/N(c) 18.5 14.8 8.9
SN(E/C) 0.84
8800036 47
RedGreenBlue
z19.08
znorm14.90
sky 14.5 14.3 14.4
S/N 18.2 26.4 29.0
S/N(c) 18.2 14.8 8.9
SN(E/C) 0.77
8800037 47
RedGreenBlue
z19.08
znorm14.90
sky 14.6 14.4 14.3
S/N 18.2 26.8 29.2
S/N(c) 18.3 14.8 8.9
SN(E/C) 0.78
8800038 47
RedGreenBlue
z19.04
znorm14.86
sky 14.5 14.4 14.4
S/N 17.8 26.3 28.7
S/N(c) 17.6 14.4 8.7
SN(E/C) 0.81