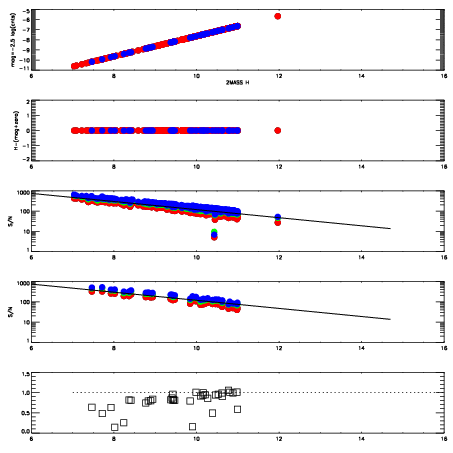
Left plots: red are targets, blue are telluric. Observed mags are calculated from median value of green chip. Zeropoint gives overall throughput: bigger number is more throughput.
First spatial plots: circles are objects, squares are tellurics, crosses are sky fibers. Colors give deviation of observed mag from expected 2MASS mag using the median zeropoint; red is brighter
Second spatial plots: circles are sky fibers. Colors give sky line brightness relative to plate median sky line brightness
FrameNreadsZeropointsMag plots Spatial mag deviation Spatial sky 16325A emission deviations (filled: sky, open: star) Spatial sky continuum emission Spatial sky telluric CO2 absorption deviations (filled: H < 10)
0 0
RedGreenBlue
z17.64
znorm Inf
sky -Inf -Inf -NaN
S/N 24.3 42.1 46.8
S/N(c) 0.0 0.0 0.0
SN(E/C) 0.83

IPAIRNAMESHIFTNEWSHIFTS/N NAMESHIFTNEWSHIFTS/N
0 08510046 0.477861 0.00000 19.0817 08510047 0.00305846 0.474803 19.0844
1 08510042 0.477333 0.000527978 19.0584 08510044 0.00199106 0.475870 19.0457
2 08510045 0.475504 0.00235698 19.0365 08510043 0.00386682 0.473994 19.0011
3 08510041 0.475793 0.00206798 19.0089 08510040 0.00000 0.477861 18.9618