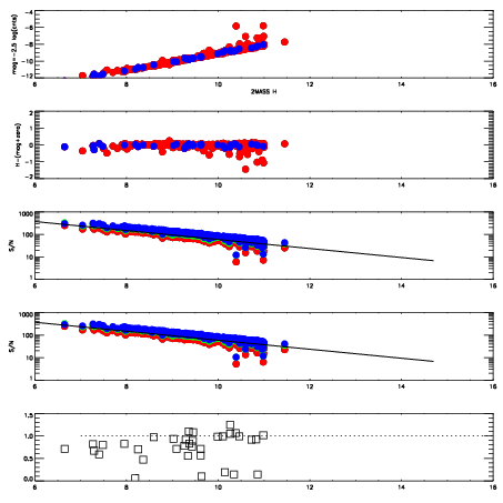
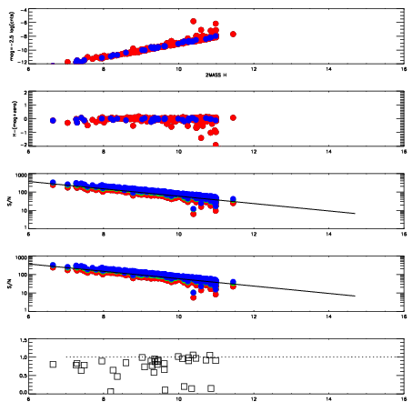
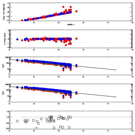
Frame | Nreads | Zeropoints | Mag plots
| Spatial mag deviation
| Spatial sky 16325A emission deviations (filled: sky, open: star)
| Spatial sky continuum emission
| Spatial sky telluric CO2 absorption deviations (filled: H < 10)
|
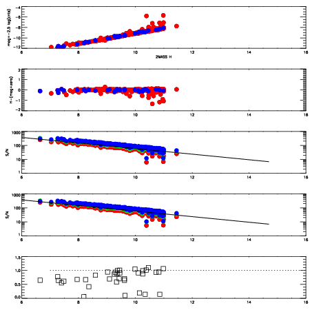
8780034
| 47
| | Red | Green | Blue
| z | | 19.07
| znorm | | 14.89
| sky | 14.4 | 14.2 | 14.2
| S/N | 17.6 | 26.2 | 29.9
| S/N(c) | 26.6 | 31.6 | 12.1
| SN(E/C) | 0.83
|
|
|
|
|
|
|
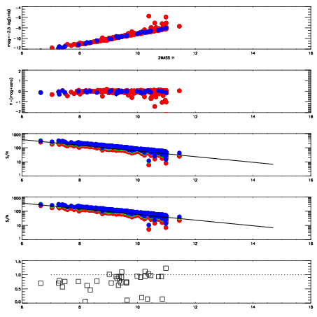
8780035
| 47
| | Red | Green | Blue
| z | | 19.10
| znorm | | 14.92
| sky | 14.4 | 14.2 | 14.3
| S/N | 17.7 | 26.4 | 30.1
| S/N(c) | 26.9 | 32.5 | 12.4
| SN(E/C) | 0.77
|
|
|
|
|
|
|
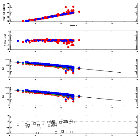
8780036
| 47
| | Red | Green | Blue
| z | | 19.12
| znorm | | 14.94
| sky | 14.3 | 14.2 | 14.4
| S/N | 17.9 | 26.7 | 30.5
| S/N(c) | 27.2 | 32.8 | 12.6
| SN(E/C) | 0.81
|
|
|
|
|
|
|
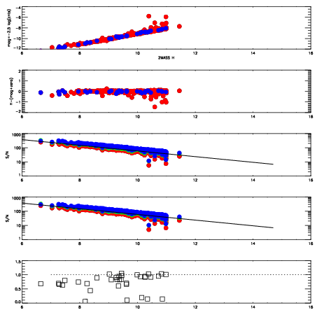
8780037
| 47
| | Red | Green | Blue
| z | | 19.12
| znorm | | 14.94
| sky | 14.3 | 14.2 | 14.4
| S/N | 17.7 | 26.8 | 30.6
| S/N(c) | 27.1 | 32.8 | 12.6
| SN(E/C) | 0.82
|
|
|
|
|
|
|
8780038
| 47
| | Red | Green | Blue
| z | | 19.11
| znorm | | 14.93
| sky | 14.3 | 14.4 | 14.4
| S/N | 17.6 | 26.5 | 30.3
| S/N(c) | 27.0 | 32.8 | 12.6
| SN(E/C) | 0.82
|
|
|
|
|
|
|
8780039
| 47
| | Red | Green | Blue
| z | | 19.14
| znorm | | 14.96
| sky | 14.3 | 14.3 | 14.3
| S/N | 17.9 | 27.1 | 30.8
| S/N(c) | 27.4 | 33.2 | 12.7
| SN(E/C) | 0.74
|
|
|
|
|
|
|
8780040
| 47
| | Red | Green | Blue
| z | | 19.15
| znorm | | 14.97
| sky | 14.2 | 14.3 | 14.3
| S/N | 17.8 | 27.1 | 30.8
| S/N(c) | 27.4 | 33.2 | 12.9
| SN(E/C) | 0.77
|
|
|
|
|
|
|
8780041
| 47
| | Red | Green | Blue
| z | | 19.14
| znorm | | 14.96
| sky | 14.0 | 14.2 | 14.3
| S/N | 17.8 | 26.8 | 30.6
| S/N(c) | 27.5 | 33.1 | 13.0
| SN(E/C) | 0.76
|
|
|
|
|
|
|