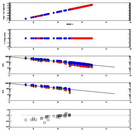
Left plots: red are targets, blue are telluric. Observed mags are calculated from median value of green chip. Zeropoint gives overall throughput: bigger number is more throughput.
First spatial plots: circles are objects, squares are tellurics, crosses are sky fibers. Colors give deviation of observed mag from expected 2MASS mag using the median zeropoint; red is brighter
Second spatial plots: circles are sky fibers. Colors give sky line brightness relative to plate median sky line brightness
FrameNreadsZeropointsMag plots Spatial mag deviation Spatial sky 16325A emission deviations (filled: sky, open: star) Spatial sky continuum emission Spatial sky telluric CO2 absorption deviations (filled: H < 10)
0 0
RedGreenBlue
z17.64
znorm Inf
sky -Inf -Inf -NaN
S/N 26.2 44.3 47.0
S/N(c) 0.0 0.0 0.0
SN(E/C) 0.92

IPAIRNAMESHIFTNEWSHIFTS/N NAMESHIFTNEWSHIFTS/N
0 08660017 0.490192 0.00000 18.9759 08660018 0.00604566 0.484146 18.8481
1 08660013 0.489134 0.00105798 19.0238 08660014 0.00341198 0.486780 19.0243
2 08660012 0.489319 0.000872999 19.0112 08660015 0.00397911 0.486213 18.9837
3 08660016 0.488812 0.00138000 19.0054 08660011 0.00000 0.490192 18.9781