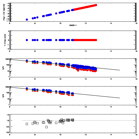
Left plots: red are targets, blue are telluric. Observed mags are calculated from median value of green chip. Zeropoint gives overall throughput: bigger number is more throughput.
First spatial plots: circles are objects, squares are tellurics, crosses are sky fibers. Colors give deviation of observed mag from expected 2MASS mag using the median zeropoint; red is brighter
Second spatial plots: circles are sky fibers. Colors give sky line brightness relative to plate median sky line brightness
FrameNreadsZeropointsMag plots Spatial mag deviation Spatial sky 16325A emission deviations (filled: sky, open: star) Spatial sky continuum emission Spatial sky telluric CO2 absorption deviations (filled: H < 10)
0 0
RedGreenBlue
z17.64
znorm Inf
sky -Inf -NaN -NaN
S/N 21.6 37.5 39.3
S/N(c) 0.0 0.0 0.0
SN(E/C) 0.95

IPAIRNAMESHIFTNEWSHIFTS/N NAMESHIFTNEWSHIFTS/N
0 12080028 0.495360 0.00000 18.6560 12080025 0.00290939 0.492451 18.5858
1 12080023 0.493625 0.00173500 18.8354 12080022 0.00000 0.495360 18.8753
2 12080024 0.494692 0.000667989 18.8003 12080026 0.00168147 0.493679 18.6227
3 12080027 0.494756 0.000603974 18.5980 12080029 0.000518466 0.494842 18.2963