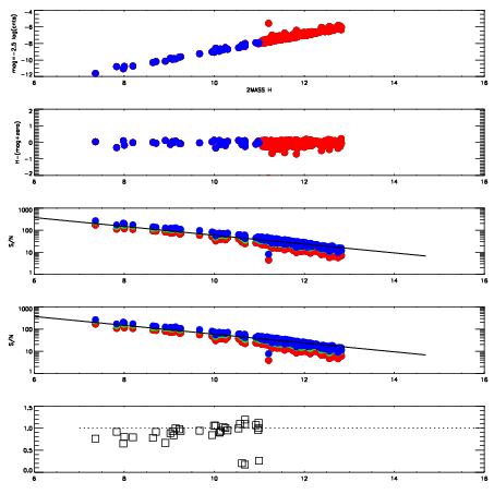
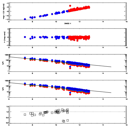
Left plots: red are targets, blue are telluric. Observed mags are calculated from median value of green chip. Zeropoint gives overall throughput: bigger number is more throughput.
First spatial plots: circles are objects, squares are tellurics, crosses are sky fibers. Colors give deviation of observed mag from expected 2MASS mag using the median zeropoint; red is brighter
Second spatial plots: circles are sky fibers. Colors give sky line brightness relative to plate median sky line brightness
FrameNreadsZeropointsMag plots Spatial mag deviation Spatial sky 16325A emission deviations (filled: sky, open: star) Spatial sky continuum emission Spatial sky telluric CO2 absorption deviations (filled: H < 10)
12320077 47
RedGreenBlue
z18.94
znorm14.76
sky 13.3 13.2 13.1
S/N 13.2 21.2 22.1
S/N(c) 15.1 18.9 16.9
SN(E/C) 0.93
12320078 47
RedGreenBlue
z18.97
znorm14.79
sky 13.2 13.1 13.1
S/N 13.2 21.2 22.3
S/N(c) 15.0 19.1 17.1
SN(E/C) 0.95