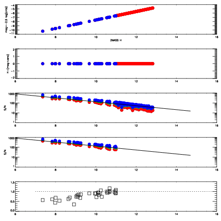
Left plots: red are targets, blue are telluric. Observed mags are calculated from median value of green chip. Zeropoint gives overall throughput: bigger number is more throughput.
First spatial plots: circles are objects, squares are tellurics, crosses are sky fibers. Colors give deviation of observed mag from expected 2MASS mag using the median zeropoint; red is brighter
Second spatial plots: circles are sky fibers. Colors give sky line brightness relative to plate median sky line brightness
FrameNreadsZeropointsMag plots Spatial mag deviation Spatial sky 16325A emission deviations (filled: sky, open: star) Spatial sky continuum emission Spatial sky telluric CO2 absorption deviations (filled: H < 10)
0 0
RedGreenBlue
z17.64
znorm Inf
sky -NaN -Inf -Inf
S/N 31.3 52.2 55.5
S/N(c) 0.0 0.0 0.0
SN(E/C) 0.90

IPAIRNAMESHIFTNEWSHIFTS/N NAMESHIFTNEWSHIFTS/N
0 12400043 0.497419 0.00000 19.1226 12400044 0.00180179 0.495617 19.1067
1 12400046 0.496425 0.000993997 19.1568 12400045 0.00108295 0.496336 19.1347
2 12400042 0.497210 0.000209004 19.0639 12400041 0.00127371 0.496145 19.0924
3 12400039 0.495633 0.00178599 19.0544 12400040 0.00120152 0.496217 19.0629
4 12400038 0.495495 0.00192401 19.0517 12400037 0.00000 0.497419 18.9885