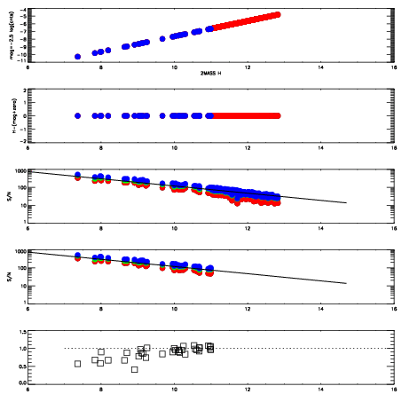
Left plots: red are targets, blue are telluric. Observed mags are calculated from median value of green chip. Zeropoint gives overall throughput: bigger number is more throughput.
First spatial plots: circles are objects, squares are tellurics, crosses are sky fibers. Colors give deviation of observed mag from expected 2MASS mag using the median zeropoint; red is brighter
Second spatial plots: circles are sky fibers. Colors give sky line brightness relative to plate median sky line brightness
FrameNreadsZeropointsMag plots Spatial mag deviation Spatial sky 16325A emission deviations (filled: sky, open: star) Spatial sky continuum emission Spatial sky telluric CO2 absorption deviations (filled: H < 10)
0 0
RedGreenBlue
z17.64
znorm Inf
sky -Inf -Inf -NaN
S/N 24.5 43.0 45.4
S/N(c) 0.0 0.0 0.0
SN(E/C) 0.92

IPAIRNAMESHIFTNEWSHIFTS/N NAMESHIFTNEWSHIFTS/N
0 12210039 0.498717 0.00000 18.9208 12210037 0.00000 0.498717 18.8590
1 12210042 0.497470 0.00124702 18.9380 12210044 -0.00136462 0.500082 18.9564
2 12210043 0.498191 0.000526011 18.9219 12210040 -8.96257e-05 0.498807 18.8995
3 12210038 0.497946 0.000771016 18.8854 12210041 -0.000290146 0.499007 18.8435