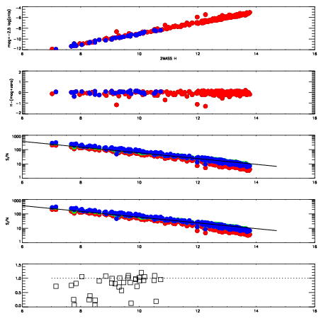
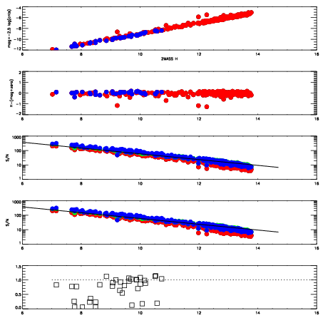
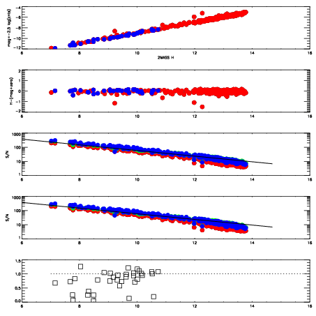
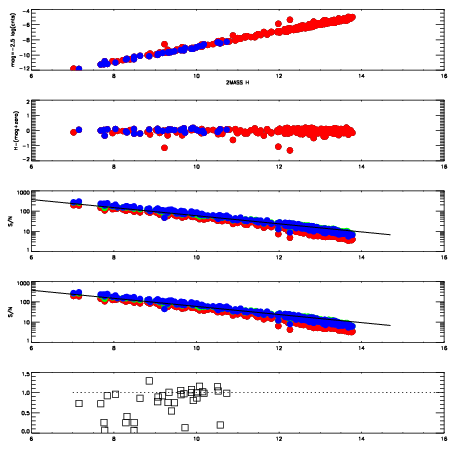
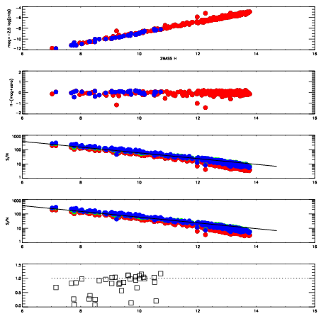
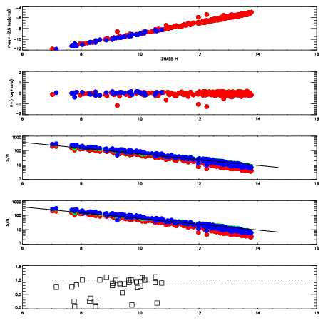
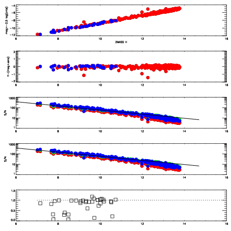
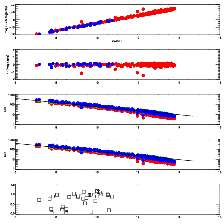
Frame | Nreads | Zeropoints | Mag plots
| Spatial mag deviation
| Spatial sky 16325A emission deviations (filled: sky, open: star)
| Spatial sky continuum emission
| Spatial sky telluric CO2 absorption deviations (filled: H < 10)
|
12250059
| 47
| | Red | Green | Blue
| z | | 18.79
| znorm | | 14.61
| sky | 14.7 | 14.7 | 14.4
| S/N | 14.0 | 21.8 | 21.6
| S/N(c) | 9.9 | 5.2 | 19.1
| SN(E/C) | 0.93
|
|
|
|
|
|
|
12250060
| 47
| | Red | Green | Blue
| z | | 18.89
| znorm | | 14.71
| sky | 14.8 | 14.6 | 14.8
| S/N | 15.0 | 23.1 | 23.2
| S/N(c) | 10.3 | 5.4 | 20.2
| SN(E/C) | 0.86
|
|
|
|
|
|
|
12250061
| 47
| | Red | Green | Blue
| z | | 19.00
| znorm | | 14.82
| sky | 14.9 | 14.6 | 14.8
| S/N | 16.2 | 24.4 | 24.7
| S/N(c) | 11.0 | 5.8 | 21.4
| SN(E/C) | 0.83
|
|
|
|
|
|
|
12250062
| 47
| | Red | Green | Blue
| z | | 18.94
| znorm | | 14.76
| sky | 14.8 | 14.6 | 14.7
| S/N | 15.5 | 23.7 | 24.1
| S/N(c) | 10.6 | 5.5 | 20.6
| SN(E/C) | 0.88
|
|
|
|
|
|
|
12250063
| 47
| | Red | Green | Blue
| z | | 18.95
| znorm | | 14.77
| sky | 14.7 | 14.6 | 14.9
| S/N | 15.5 | 23.9 | 23.9
| S/N(c) | 10.7 | 5.6 | 20.8
| SN(E/C) | 0.87
|
|
|
|
|
|
|
12250064
| 47
| | Red | Green | Blue
| z | | 18.93
| znorm | | 14.75
| sky | 14.6 | 14.7 | 14.8
| S/N | 15.4 | 23.5 | 23.7
| S/N(c) | 10.7 | 5.6 | 20.8
| SN(E/C) | 0.89
|
|
|
|
|
|
|
12250065
| 47
| | Red | Green | Blue
| z | | 19.01
| znorm | | 14.83
| sky | 14.6 | 14.6 | 14.9
| S/N | 15.7 | 24.3 | 24.9
| S/N(c) | 11.0 | 5.8 | 21.5
| SN(E/C) | 0.85
|
|
|
|
|
|
|
12250066
| 47
| | Red | Green | Blue
| z | | 19.02
| znorm | | 14.84
| sky | 14.9 | 14.6 | 14.7
| S/N | 16.2 | 24.5 | 25.2
| S/N(c) | 11.0 | 5.8 | 21.7
| SN(E/C) | 0.83
|
|
|
|
|
|
|