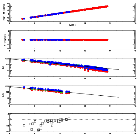
Left plots: red are targets, blue are telluric. Observed mags are calculated from median value of green chip. Zeropoint gives overall throughput: bigger number is more throughput.
First spatial plots: circles are objects, squares are tellurics, crosses are sky fibers. Colors give deviation of observed mag from expected 2MASS mag using the median zeropoint; red is brighter
Second spatial plots: circles are sky fibers. Colors give sky line brightness relative to plate median sky line brightness
FrameNreadsZeropointsMag plots Spatial mag deviation Spatial sky 16325A emission deviations (filled: sky, open: star) Spatial sky continuum emission Spatial sky telluric CO2 absorption deviations (filled: H < 10)
0 0
RedGreenBlue
z17.64
znorm Inf
sky -NaN -Inf -Inf
S/N 28.0 44.1 44.7
S/N(c) 0.0 0.0 0.0
SN(E/C) 0.86

IPAIRNAMESHIFTNEWSHIFTS/N NAMESHIFTNEWSHIFTS/N
0 12250065 0.500668 0.00000 18.9910 12250066 -0.000198093 0.500866 19.0061
1 12250061 0.496150 0.00451800 18.9844 12250062 0.000230199 0.500438 18.9332
2 12250064 0.500493 0.000174999 18.9168 12250063 0.00101667 0.499651 18.9329
3 12250060 0.494671 0.00599700 18.8674 12250059 0.00000 0.500668 18.7676