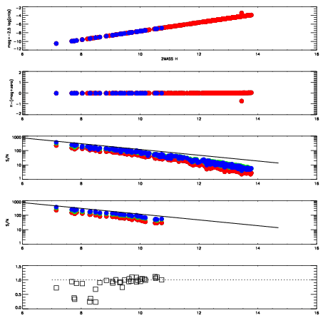
Left plots: red are targets, blue are telluric. Observed mags are calculated from median value of green chip. Zeropoint gives overall throughput: bigger number is more throughput.
First spatial plots: circles are objects, squares are tellurics, crosses are sky fibers. Colors give deviation of observed mag from expected 2MASS mag using the median zeropoint; red is brighter
Second spatial plots: circles are sky fibers. Colors give sky line brightness relative to plate median sky line brightness
FrameNreadsZeropointsMag plots Spatial mag deviation Spatial sky 16325A emission deviations (filled: sky, open: star) Spatial sky continuum emission Spatial sky telluric CO2 absorption deviations (filled: H < 10)
0 0
RedGreenBlue
z17.65
znorm Inf
sky -Inf -Inf -Inf
S/N 11.1 20.0 19.0
S/N(c) 0.0 0.0 0.0
SN(E/C) 0.94

IPAIRNAMESHIFTNEWSHIFTS/N NAMESHIFTNEWSHIFTS/N
0 12440013 0.491860 0.00000 17.2335 12440014 0.00276406 0.489096 16.4236
1 12440017 0.490420 0.00143999 18.0047 12440018 -0.00243111 0.494291 18.4003
2 12440012 0.491097 0.000762999 17.5668 12440011 0.00000 0.491860 17.9023
3 12440016 0.491039 0.000820994 17.5148 12440015 0.00241159 0.489448 16.5628