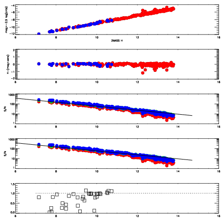
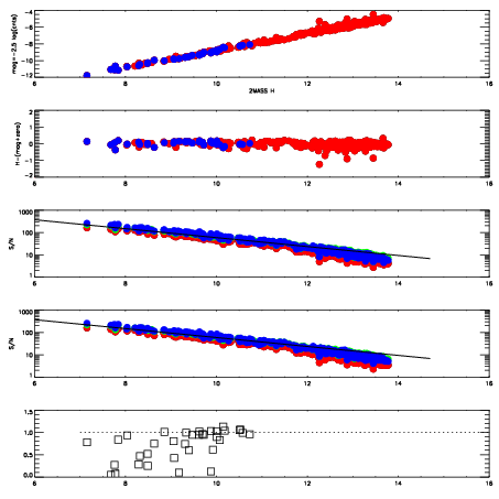
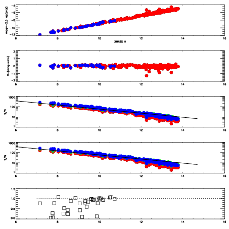
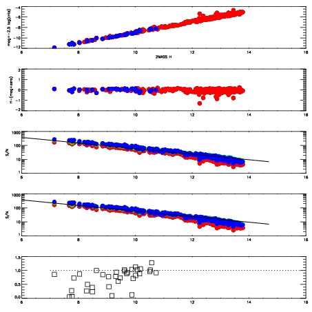
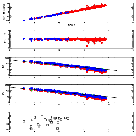
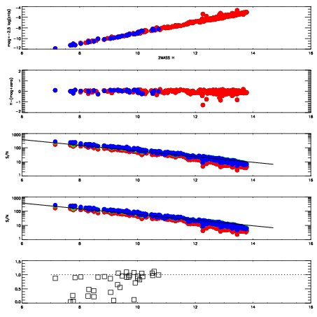
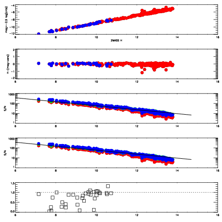
Frame | Nreads | Zeropoints | Mag plots
| Spatial mag deviation
| Spatial sky 16325A emission deviations (filled: sky, open: star)
| Spatial sky continuum emission
| Spatial sky telluric CO2 absorption deviations (filled: H < 10)
|
12480011
| 47
| | Red | Green | Blue
| z | | 18.80
| znorm | | 14.62
| sky | 14.3 | 14.1 | 14.0
| S/N | 13.5 | 21.2 | 20.3
| S/N(c) | 31.6 | 38.2 | 5.5
| SN(E/C) | 0.84
|
|
|
|
|
|
|
12480012
| 47
| | Red | Green | Blue
| z | | 18.90
| znorm | | 14.71
| sky | 14.2 | 14.3 | 14.4
| S/N | 13.9 | 21.9 | 21.6
| S/N(c) | 32.6 | 39.4 | 5.8
| SN(E/C) | 0.87
|
|
|
|
|
|
|
12480013
| 47
| | Red | Green | Blue
| z | | 18.88
| znorm | | 14.70
| sky | 14.2 | 14.3 | 14.4
| S/N | 13.9 | 21.6 | 21.3
| S/N(c) | 31.6 | 38.6 | 5.8
| SN(E/C) | 0.87
|
|
|
|
|
|
|
12480014
| 47
| | Red | Green | Blue
| z | | 18.94
| znorm | | 14.76
| sky | 14.3 | 14.5 | 14.6
| S/N | 14.3 | 21.8 | 21.5
| S/N(c) | 33.6 | 40.7 | 5.9
| SN(E/C) | 0.85
|
|
|
|
|
|
|
12480015
| 47
| | Red | Green | Blue
| z | | 18.95
| znorm | | 14.77
| sky | 14.4 | 14.5 | 14.5
| S/N | 14.4 | 22.3 | 22.2
| S/N(c) | 32.8 | 39.5 | 5.8
| SN(E/C) | 0.90
|
|
|
|
|
|
|
12480016
| 47
| | Red | Green | Blue
| z | | 18.97
| znorm | | 14.79
| sky | 14.4 | 14.6 | 14.7
| S/N | 14.7 | 22.6 | 22.9
| S/N(c) | 33.0 | 40.5 | 5.7
| SN(E/C) | 0.88
|
|
|
|
|
|
|
12480017
| 47
| | Red | Green | Blue
| z | | 18.95
| znorm | | 14.77
| sky | 14.3 | 14.6 | 14.6
| S/N | 14.3 | 22.6 | 23.0
| S/N(c) | 32.9 | 40.5 | 5.7
| SN(E/C) | 0.83
|
|
|
|
|
|
|
12480018
| 47
| | Red | Green | Blue
| z | | 19.02
| znorm | | 14.84
| sky | 14.4 | 14.5 | 14.6
| S/N | 15.0 | 23.3 | 23.7
| S/N(c) | 34.4 | 42.6 | 5.9
| SN(E/C) | 0.85
|
|
|
|
|
|
|