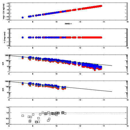
Left plots: red are targets, blue are telluric. Observed mags are calculated from median value of green chip. Zeropoint gives overall throughput: bigger number is more throughput.
First spatial plots: circles are objects, squares are tellurics, crosses are sky fibers. Colors give deviation of observed mag from expected 2MASS mag using the median zeropoint; red is brighter
Second spatial plots: circles are sky fibers. Colors give sky line brightness relative to plate median sky line brightness
FrameNreadsZeropointsMag plots Spatial mag deviation Spatial sky 16325A emission deviations (filled: sky, open: star) Spatial sky continuum emission Spatial sky telluric CO2 absorption deviations (filled: H < 10)
0 0
RedGreenBlue
z17.64
znorm Inf
sky -NaN -Inf -Inf
S/N 22.5 32.2 28.0
S/N(c) 0.0 0.0 0.0
SN(E/C) 0.89

IPAIRNAMESHIFTNEWSHIFTS/N NAMESHIFTNEWSHIFTS/N
0 12310045 0.493064 0.00000 18.1342 12310047 -0.00173345 0.494797 18.2933
1 12310050 0.491986 0.00107798 18.8536 12310051 -0.00398513 0.497049 18.8586
2 12310049 0.491643 0.00142097 18.7587 12310048 -0.00195756 0.495022 18.5532
3 12310046 0.492477 0.000586987 18.0775 12310044 0.00000 0.493064 17.9149