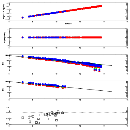
Left plots: red are targets, blue are telluric. Observed mags are calculated from median value of green chip. Zeropoint gives overall throughput: bigger number is more throughput.
First spatial plots: circles are objects, squares are tellurics, crosses are sky fibers. Colors give deviation of observed mag from expected 2MASS mag using the median zeropoint; red is brighter
Second spatial plots: circles are sky fibers. Colors give sky line brightness relative to plate median sky line brightness
FrameNreadsZeropointsMag plots Spatial mag deviation Spatial sky 16325A emission deviations (filled: sky, open: star) Spatial sky continuum emission Spatial sky telluric CO2 absorption deviations (filled: H < 10)
0 0
RedGreenBlue
z17.64
znorm Inf
sky -NaN -NaN -NaN
S/N 23.2 37.5 39.4
S/N(c) 0.0 0.0 0.0
SN(E/C) 0.85

IPAIRNAMESHIFTNEWSHIFTS/N NAMESHIFTNEWSHIFTS/N
0 12200028 0.501119 0.00000 18.8915 12200029 0.000986246 0.500133 18.8626
1 12200027 0.500296 0.000823021 18.9021 12200026 -0.00225276 0.503372 18.9700
2 12200024 0.500256 0.000863016 18.8944 12200025 -0.00279511 0.503914 18.9462
3 12200023 0.500583 0.000536025 18.8854 12200022 0.00000 0.501119 18.8433