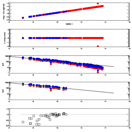
Left plots: red are targets, blue are telluric. Observed mags are calculated from median value of green chip. Zeropoint gives overall throughput: bigger number is more throughput.
First spatial plots: circles are objects, squares are tellurics, crosses are sky fibers. Colors give deviation of observed mag from expected 2MASS mag using the median zeropoint; red is brighter
Second spatial plots: circles are sky fibers. Colors give sky line brightness relative to plate median sky line brightness
FrameNreadsZeropointsMag plots Spatial mag deviation Spatial sky 16325A emission deviations (filled: sky, open: star) Spatial sky continuum emission Spatial sky telluric CO2 absorption deviations (filled: H < 10)
0 0
RedGreenBlue
z17.64
znorm Inf
sky -NaN -NaN -Inf
S/N 21.8 32.8 35.5
S/N(c) 0.0 0.0 0.0
SN(E/C) 0.88

IPAIRNAMESHIFTNEWSHIFTS/N NAMESHIFTNEWSHIFTS/N
0 12240061 0.495672 0.00000 18.8033 12240062 0.00277731 0.492895 18.8004
1 12240057 0.493158 0.00251397 18.7574 12240058 0.000196894 0.495475 18.7930
2 12240056 0.492099 0.00357300 18.6704 12240055 0.00000 0.495672 18.5450
3 12240060 0.495445 0.000226974 18.5779 12240059 0.00110684 0.494565 18.5330