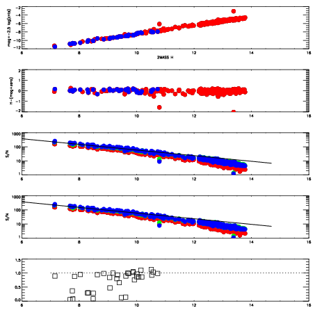
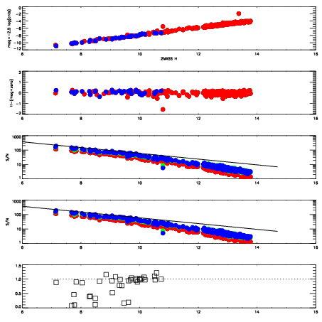
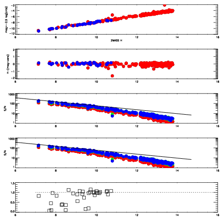
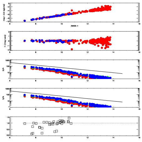
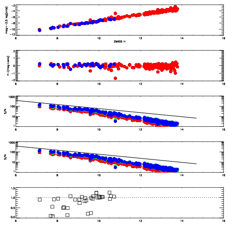
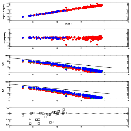
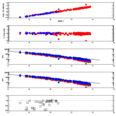
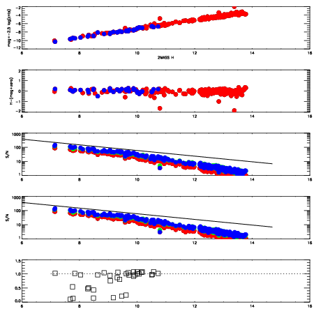
Frame | Nreads | Zeropoints | Mag plots
| Spatial mag deviation
| Spatial sky 16325A emission deviations (filled: sky, open: star)
| Spatial sky continuum emission
| Spatial sky telluric CO2 absorption deviations (filled: H < 10)
|
12350013
| 47
| | Red | Green | Blue
| z | | 18.70
| znorm | | 14.52
| sky | 13.8 | 13.8 | 13.7
| S/N | 12.6 | 17.8 | 17.9
| S/N(c) | 38.7 | 41.9 | 5.6
| SN(E/C) | 0.87
|
|
|
|
|
|
|
12350014
| 47
| | Red | Green | Blue
| z | | 18.49
| znorm | | 14.31
| sky | 13.9 | 13.8 | 13.9
| S/N | 10.5 | 15.6 | 16.0
| S/N(c) | 33.5 | 37.3 | 4.9
| SN(E/C) | 0.88
|
|
|
|
|
|
|
12350015
| 47
| | Red | Green | Blue
| z | | 17.83
| znorm | | 13.65
| sky | 13.7 | 13.7 | 13.8
| S/N | 6.4 | 10.2 | 10.4
| S/N(c) | 22.4 | 26.0 | 3.5
| SN(E/C) | 0.94
|
|
|
|
|
|
|
12350016
| 47
| | Red | Green | Blue
| z | | 16.47
| znorm | | 12.29
| sky | 13.4 | 13.5 | 13.6
| S/N | 1.7 | 3.2 | 4.1
| S/N(c) | 7.9 | 11.2 | 1.4
| SN(E/C) | 0.96
|
|
|
|
|
|
|
12350017
| 47
| | Red | Green | Blue
| z | | 17.17
| znorm | | 12.99
| sky | 13.6 | 13.6 | 13.6
| S/N | 3.0 | 5.5 | 6.4
| S/N(c) | 13.9 | 17.6 | 2.2
| SN(E/C) | 0.99
|
|
|
|
|
|
|
12350018
| 47
| | Red | Green | Blue
| z | | 17.87
| znorm | | 13.69
| sky | 13.6 | 13.5 | 13.6
| S/N | 6.0 | 9.7 | 10.0
| S/N(c) | 22.5 | 26.0 | 3.5
| SN(E/C) | 0.95
|
|
|
|
|
|
|
12350019
| 47
| | Red | Green | Blue
| z | | 17.24
| znorm | | 13.06
| sky | 13.4 | 13.4 | 13.5
| S/N | 3.5 | 5.9 | 6.3
| S/N(c) | 14.4 | 17.8 | 2.3
| SN(E/C) | 0.96
|
|
|
|
|
|
|
12350020
| 47
| | Red | Green | Blue
| z | | 17.26
| znorm | | 13.08
| sky | 13.4 | 13.4 | 13.5
| S/N | 3.4 | 6.0 | 6.5
| S/N(c) | 14.6 | 18.1 | 2.4
| SN(E/C) | 0.94
|
|
|
|
|
|
|