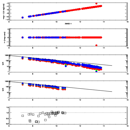
Left plots: red are targets, blue are telluric. Observed mags are calculated from median value of green chip. Zeropoint gives overall throughput: bigger number is more throughput.
First spatial plots: circles are objects, squares are tellurics, crosses are sky fibers. Colors give deviation of observed mag from expected 2MASS mag using the median zeropoint; red is brighter
Second spatial plots: circles are sky fibers. Colors give sky line brightness relative to plate median sky line brightness
FrameNreadsZeropointsMag plots Spatial mag deviation Spatial sky 16325A emission deviations (filled: sky, open: star) Spatial sky continuum emission Spatial sky telluric CO2 absorption deviations (filled: H < 10)
0 0
RedGreenBlue
z17.64
znorm Inf
sky -Inf -Inf -Inf
S/N 12.0 18.7 19.2
S/N(c) 0.0 0.0 0.0
SN(E/C) 0.91

IPAIRNAMESHIFTNEWSHIFTS/N NAMESHIFTNEWSHIFTS/N
0 12350019 0.493467 0.00000 17.2174 12350016 0.00286794 0.490599 16.4612
1 12350014 0.492410 0.00105700 18.4769 12350013 0.00000 0.493467 18.6903
2 12350018 0.492873 0.000593990 17.8525 12350020 0.00417387 0.489293 17.2573
3 12350015 0.493217 0.000250012 17.8214 12350017 0.00317208 0.490295 17.1652