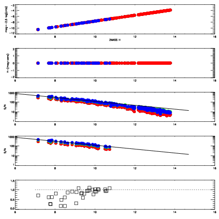
Left plots: red are targets, blue are telluric. Observed mags are calculated from median value of green chip. Zeropoint gives overall throughput: bigger number is more throughput.
First spatial plots: circles are objects, squares are tellurics, crosses are sky fibers. Colors give deviation of observed mag from expected 2MASS mag using the median zeropoint; red is brighter
Second spatial plots: circles are sky fibers. Colors give sky line brightness relative to plate median sky line brightness
FrameNreadsZeropointsMag plots Spatial mag deviation Spatial sky 16325A emission deviations (filled: sky, open: star) Spatial sky continuum emission Spatial sky telluric CO2 absorption deviations (filled: H < 10)
0 0
RedGreenBlue
z17.64
znorm Inf
sky -Inf -Inf -Inf
S/N 16.5 26.4 28.1
S/N(c) 0.0 0.0 0.0
SN(E/C) 0.88

IPAIRNAMESHIFTNEWSHIFTS/N NAMESHIFTNEWSHIFTS/N
0 12430017 0.493774 0.00000 18.5455 12430018 0.00320436 0.490570 18.6417
1 12430016 0.493626 0.000147998 18.5360 12430015 0.00192511 0.491849 18.4541
2 12430013 0.492256 0.00151801 18.3502 12430014 0.000503455 0.493271 18.4428
3 12430012 0.491926 0.00184798 18.1288 12430011 0.00000 0.493774 18.0355