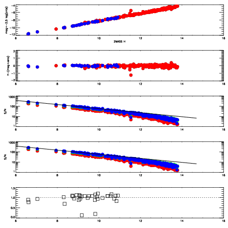
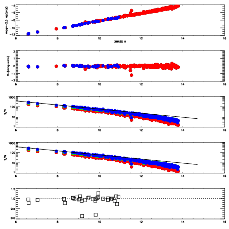
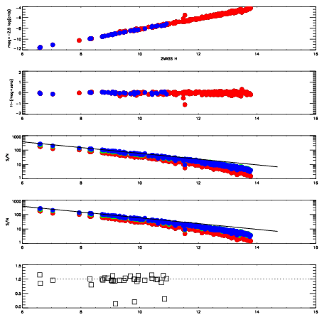
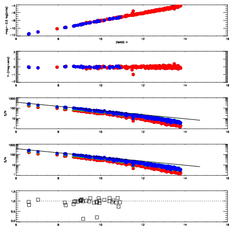
Frame | Nreads | Zeropoints | Mag plots
| Spatial mag deviation
| Spatial sky 16325A emission deviations (filled: sky, open: star)
| Spatial sky continuum emission
| Spatial sky telluric CO2 absorption deviations (filled: H < 10)
|
12290046
| 47
| | Red | Green | Blue
| z | | 18.29
| znorm | | 14.11
| sky | 14.4 | 14.2 | 14.1
| S/N | 9.6 | 16.3 | 16.0
| S/N(c) | 7.5 | 6.3 | 12.4
| SN(E/C) | 1.06
|
|
|
|
|
|
|
12290047
| 47
| | Red | Green | Blue
| z | | 18.24
| znorm | | 14.06
| sky | 14.5 | 14.4 | 14.6
| S/N | 8.7 | 15.8 | 15.7
| S/N(c) | 7.4 | 6.1 | 12.2
| SN(E/C) | 0.97
|
|
|
|
|
|
|
12290048
| 47
| | Red | Green | Blue
| z | | 18.15
| znorm | | 13.96
| sky | 15.0 | 14.6 | 14.6
| S/N | 7.9 | 14.7 | 14.4
| S/N(c) | 6.8 | 5.8 | 11.5
| SN(E/C) | 1.00
|
|
|
|
|
|
|
12290049
| 47
| | Red | Green | Blue
| z | | 18.15
| znorm | | 13.97
| sky | 14.9 | 14.8 | 14.7
| S/N | 8.2 | 14.8 | 14.8
| S/N(c) | 6.9 | 5.8 | 11.6
| SN(E/C) | 0.98
|
|
|
|
|
|
|
12290050
| 47
| | Red | Green | Blue
| z | | 18.21
| znorm | | 14.03
| sky | 15.0 | 14.8 | 14.9
| S/N | 8.6 | 15.4 | 15.4
| S/N(c) | 7.3 | 6.0 | 11.9
| SN(E/C) | 0.98
|
|
|
|
|
|
|
12290051
| 47
| | Red | Green | Blue
| z | | 18.13
| znorm | | 13.95
| sky | 15.2 | 14.8 | 14.9
| S/N | 7.9 | 14.5 | 14.3
| S/N(c) | 6.8 | 5.8 | 11.3
| SN(E/C) | 0.98
|
|
|
|
|
|
|
12290052
| 47
| | Red | Green | Blue
| z | | 18.29
| znorm | | 14.11
| sky | 15.1 | 14.8 | 14.9
| S/N | 9.0 | 16.0 | 16.3
| S/N(c) | 7.5 | 6.3 | 12.5
| SN(E/C) | 1.01
|
|
|
|
|
|
|
12290053
| 47
| | Red | Green | Blue
| z | | 18.00
| znorm | | 13.82
| sky | 15.0 | 14.7 | 14.8
| S/N | 7.2 | 13.2 | 13.4
| S/N(c) | 6.3 | 5.2 | 10.6
| SN(E/C) | 1.03
|
|
|
|
|
|
|