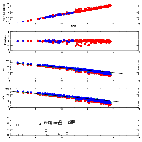
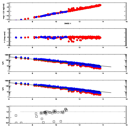
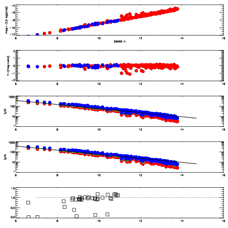
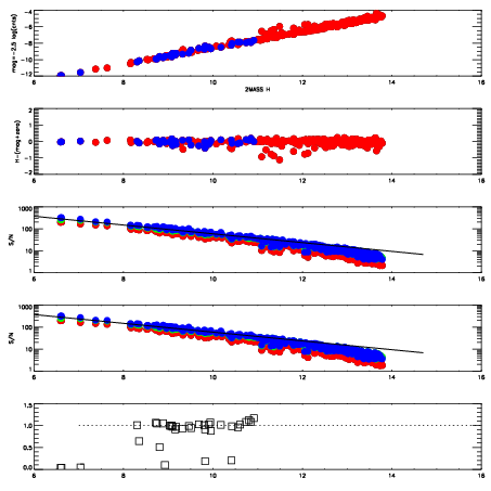
Frame | Nreads | Zeropoints | Mag plots
| Spatial mag deviation
| Spatial sky 16325A emission deviations (filled: sky, open: star)
| Spatial sky continuum emission
| Spatial sky telluric CO2 absorption deviations (filled: H < 10)
|
12340020
| 47
| | Red | Green | Blue
| z | | 18.89
| znorm | | 14.71
| sky | 14.3 | 14.1 | 14.1
| S/N | 13.1 | 21.9 | 21.7
| S/N(c) | 5.7 | 42.6 | 20.3
| SN(E/C) | 0.93
|
|
|
|
|
|
|
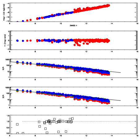
12340021
| 47
| | Red | Green | Blue
| z | | 18.94
| znorm | | 14.75
| sky | 14.3 | 14.3 | 14.5
| S/N | 13.6 | 22.6 | 22.6
| S/N(c) | 5.8 | 44.0 | 21.3
| SN(E/C) | 0.98
|
|
|
|
|
|
|
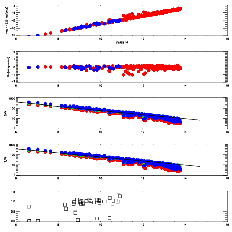
12340022
| 47
| | Red | Green | Blue
| z | | 18.57
| znorm | | 14.39
| sky | 14.0 | 14.0 | 14.1
| S/N | 10.6 | 18.0 | 18.3
| S/N(c) | 4.7 | 36.5 | 17.8
| SN(E/C) | 0.99
|
|
|
|
|
|
|
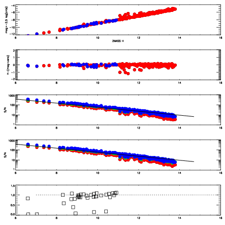
12340023
| 47
| | Red | Green | Blue
| z | | 18.67
| znorm | | 14.49
| sky | 14.0 | 14.0 | 14.2
| S/N | 11.1 | 19.2 | 19.3
| S/N(c) | 4.9 | 37.6 | 18.2
| SN(E/C) | 0.94
|
|
|
|
|
|
|
12340024
| 47
| | Red | Green | Blue
| z | | 18.92
| znorm | | 14.73
| sky | 14.2 | 14.3 | 14.4
| S/N | 13.1 | 21.6 | 22.3
| S/N(c) | 5.8 | 43.7 | 21.4
| SN(E/C) | 0.96
|
|
|
|
|
|
|
12340025
| 47
| | Red | Green | Blue
| z | | 19.01
| znorm | | 14.83
| sky | 14.5 | 14.5 | 14.5
| S/N | 14.0 | 23.2 | 23.8
| S/N(c) | 6.1 | 46.1 | 22.7
| SN(E/C) | 0.95
|
|
|
|
|
|
|
12340026
| 47
| | Red | Green | Blue
| z | | 19.01
| znorm | | 14.83
| sky | 14.5 | 14.5 | 14.7
| S/N | 13.9 | 23.4 | 23.9
| S/N(c) | 6.3 | 46.2 | 23.2
| SN(E/C) | 0.94
|
|
|
|
|
|
|
12340027
| 47
| | Red | Green | Blue
| z | | 18.99
| znorm | | 14.81
| sky | 14.4 | 14.4 | 14.5
| S/N | 13.8 | 22.8 | 23.5
| S/N(c) | 6.1 | 45.5 | 22.9
| SN(E/C) | 0.93
|
|
|
|
|
|
|