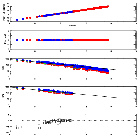
Left plots: red are targets, blue are telluric. Observed mags are calculated from median value of green chip. Zeropoint gives overall throughput: bigger number is more throughput.
First spatial plots: circles are objects, squares are tellurics, crosses are sky fibers. Colors give deviation of observed mag from expected 2MASS mag using the median zeropoint; red is brighter
Second spatial plots: circles are sky fibers. Colors give sky line brightness relative to plate median sky line brightness
FrameNreadsZeropointsMag plots Spatial mag deviation Spatial sky 16325A emission deviations (filled: sky, open: star) Spatial sky continuum emission Spatial sky telluric CO2 absorption deviations (filled: H < 10)
0 0
RedGreenBlue
z17.64
znorm Inf
sky -Inf -Inf -Inf
S/N 23.0 40.2 40.6
S/N(c) 0.0 0.0 0.0
SN(E/C) 0.90

IPAIRNAMESHIFTNEWSHIFTS/N NAMESHIFTNEWSHIFTS/N
0 12340022 0.493591 0.00000 18.5617 12340023 -0.00271344 0.496304 18.6405
1 12340026 0.493326 0.000265002 18.9966 12340027 -0.00208098 0.495672 18.9728
2 12340025 0.492902 0.000689000 18.9964 12340024 -0.00295577 0.496547 18.8933
3 12340021 0.493144 0.000447005 18.9129 12340020 0.00000 0.493591 18.8723