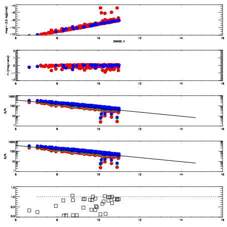
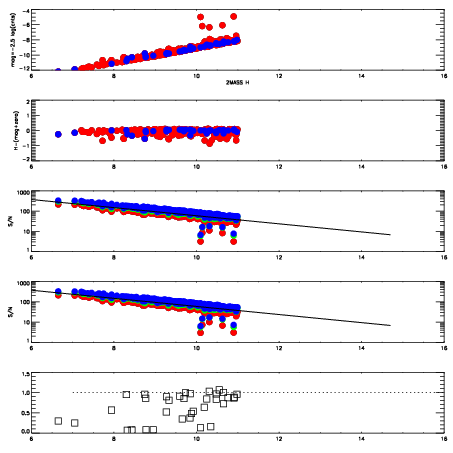
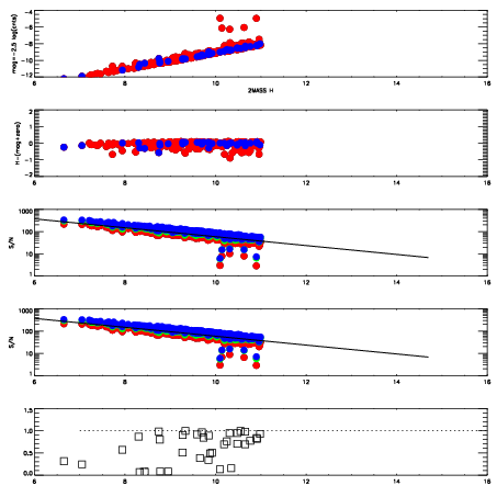
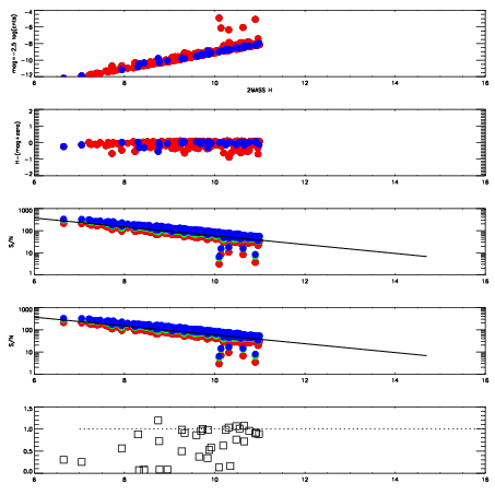
Frame | Nreads | Zeropoints | Mag plots
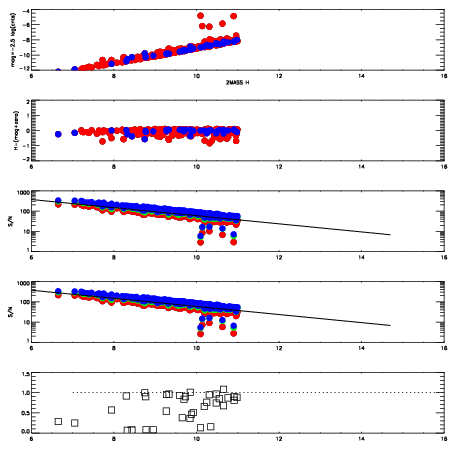
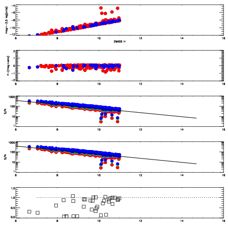
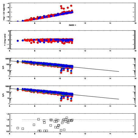
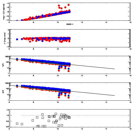
| Spatial mag deviation
| Spatial sky 16325A emission deviations (filled: sky, open: star)
| Spatial sky continuum emission
| Spatial sky telluric CO2 absorption deviations (filled: H < 10)
|
8770047
| 47
| | Red | Green | Blue
| z | | 18.99
| znorm | | 14.81
| sky | 14.3 | 14.2 | 14.1
| S/N | 17.8 | 25.7 | 27.8
| S/N(c) | 11.5 | 9.0 | 8.5
| SN(E/C) | 0.84
|
|
|
|
|
|
|
8770048
| 47
| | Red | Green | Blue
| z | | 19.03
| znorm | | 14.85
| sky | 14.3 | 14.3 | 14.3
| S/N | 18.3 | 26.3 | 28.9
| S/N(c) | 11.7 | 9.2 | 8.7
| SN(E/C) | 0.80
|
|
|
|
|
|
|
8770049
| 47
| | Red | Green | Blue
| z | | 19.08
| znorm | | 14.90
| sky | 14.3 | 14.2 | 14.2
| S/N | 18.8 | 26.9 | 29.4
| S/N(c) | 12.0 | 9.4 | 8.8
| SN(E/C) | 0.83
|
|
|
|
|
|
|
8770050
| 47
| | Red | Green | Blue
| z | | 19.09
| znorm | | 14.91
| sky | 14.6 | 14.3 | 14.3
| S/N | 18.9 | 27.2 | 29.6
| S/N(c) | 12.1 | 9.5 | 8.9
| SN(E/C) | 0.76
|
|
|
|
|
|
|
8770051
| 47
| | Red | Green | Blue
| z | | 19.08
| znorm | | 14.90
| sky | 14.4 | 14.3 | 14.3
| S/N | 18.6 | 27.0 | 29.4
| S/N(c) | 11.9 | 9.4 | 8.9
| SN(E/C) | 0.84
|
|
|
|
|
|
|
8770052
| 47
| | Red | Green | Blue
| z | | 19.09
| znorm | | 14.91
| sky | 14.3 | 14.3 | 14.3
| S/N | 18.9 | 27.2 | 29.8
| S/N(c) | 12.0 | 9.5 | 8.9
| SN(E/C) | 0.81
|
|
|
|
|
|
|
8770053
| 47
| | Red | Green | Blue
| z | | 19.10
| znorm | | 14.92
| sky | 14.5 | 14.4 | 14.2
| S/N | 18.9 | 27.2 | 29.8
| S/N(c) | 12.0 | 9.4 | 8.9
| SN(E/C) | 0.76
|
|
|
|
|
|
|
8770054
| 47
| | Red | Green | Blue
| z | | 19.07
| znorm | | 14.89
| sky | 14.4 | 14.3 | 14.2
| S/N | 18.7 | 26.7 | 29.9
| S/N(c) | 11.8 | 9.3 | 8.8
| SN(E/C) | 0.76
|
|
|
|
|
|
|