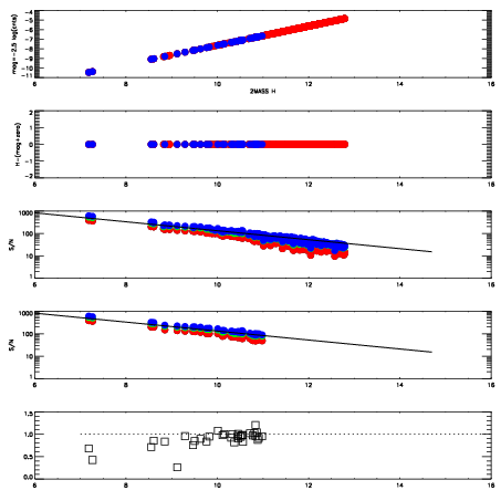
Left plots: red are targets, blue are telluric. Observed mags are calculated from median value of green chip. Zeropoint gives overall throughput: bigger number is more throughput.
First spatial plots: circles are objects, squares are tellurics, crosses are sky fibers. Colors give deviation of observed mag from expected 2MASS mag using the median zeropoint; red is brighter
Second spatial plots: circles are sky fibers. Colors give sky line brightness relative to plate median sky line brightness
FrameNreadsZeropointsMag plots Spatial mag deviation Spatial sky 16325A emission deviations (filled: sky, open: star) Spatial sky continuum emission Spatial sky telluric CO2 absorption deviations (filled: H < 10)
0 0
RedGreenBlue
z17.64
znorm Inf
sky -Inf -Inf -Inf
S/N 23.9 40.4 42.3
S/N(c) 0.0 0.0 0.0
SN(E/C) 0.94

IPAIRNAMESHIFTNEWSHIFTS/N NAMESHIFTNEWSHIFTS/N
0 08510057 0.490202 0.00000 18.7786 08510054 0.000304167 0.489898 18.7581
1 08510056 0.488155 0.00204700 18.8570 08510055 0.000511537 0.489690 18.7656
2 08510052 0.488417 0.00178501 18.6866 08510051 0.00000 0.490202 18.7349
3 08510060 0.488774 0.00142801 18.6626 08510059 -0.000321668 0.490524 18.6695
4 08510053 0.488751 0.00145102 18.6423 08510058 0.00164101 0.488561 18.6335