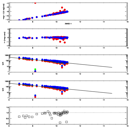
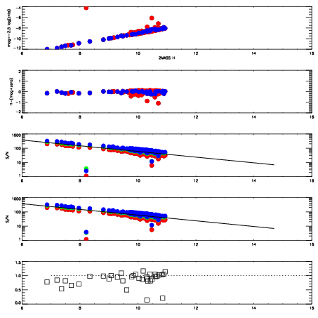
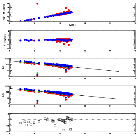
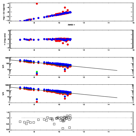
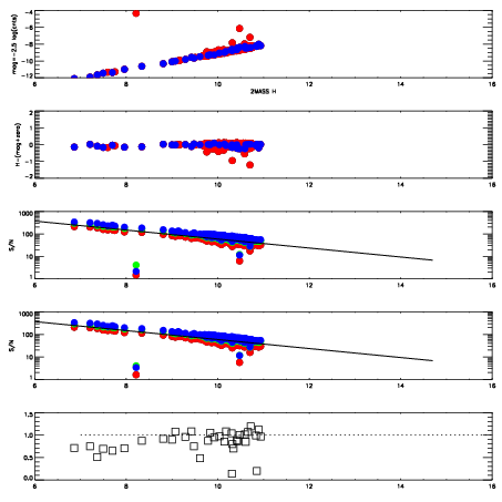
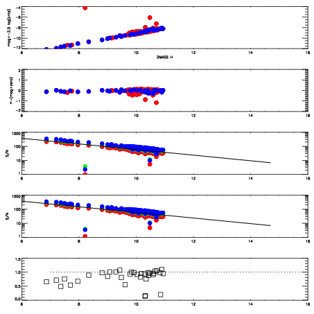
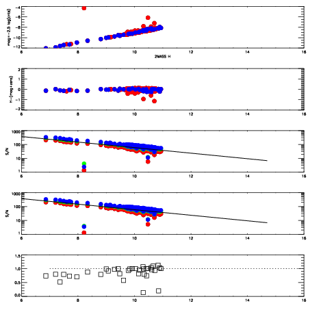
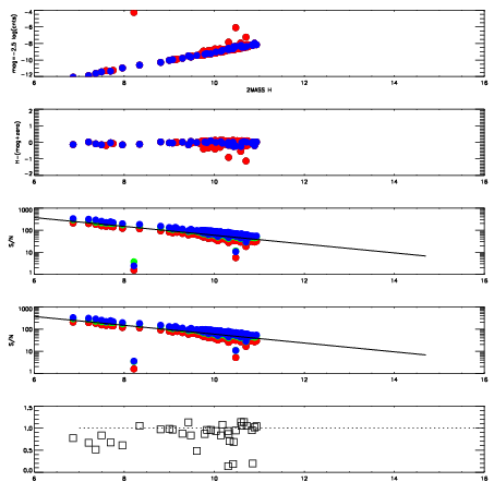
Frame | Nreads | Zeropoints | Mag plots
| Spatial mag deviation
| Spatial sky 16325A emission deviations (filled: sky, open: star)
| Spatial sky continuum emission
| Spatial sky telluric CO2 absorption deviations (filled: H < 10)
|
8770058
| 47
| | Red | Green | Blue
| z | | 19.12
| znorm | | 14.94
| sky | 14.5 | 14.2 | 14.3
| S/N | 19.5 | 27.8 | 31.5
| S/N(c) | 20.6 | 28.8 | 30.7
| SN(E/C) | 0.91
|
|
|
|
|
|
|
8770059
| 47
| | Red | Green | Blue
| z | | 19.10
| znorm | | 14.92
| sky | 14.7 | 14.4 | 14.4
| S/N | 19.2 | 27.6 | 31.1
| S/N(c) | 20.3 | 28.6 | 30.4
| SN(E/C) | 0.87
|
|
|
|
|
|
|
8770060
| 47
| | Red | Green | Blue
| z | | 19.07
| znorm | | 14.89
| sky | 14.5 | 14.3 | 14.4
| S/N | 18.9 | 27.2 | 30.6
| S/N(c) | 20.0 | 28.2 | 30.1
| SN(E/C) | 0.93
|
|
|
|
|
|
|
8770061
| 47
| | Red | Green | Blue
| z | | 19.06
| znorm | | 14.88
| sky | 14.6 | 14.4 | 14.5
| S/N | 18.5 | 27.1 | 30.4
| S/N(c) | 19.8 | 28.0 | 29.8
| SN(E/C) | 0.93
|
|
|
|
|
|
|
8770062
| 47
| | Red | Green | Blue
| z | | 19.10
| znorm | | 14.92
| sky | 14.8 | 14.5 | 14.4
| S/N | 19.1 | 27.6 | 31.0
| S/N(c) | 20.4 | 28.8 | 30.7
| SN(E/C) | 0.89
|
|
|
|
|
|
|
8770063
| 47
| | Red | Green | Blue
| z | | 18.99
| znorm | | 14.81
| sky | 14.8 | 14.6 | 14.5
| S/N | 17.9 | 26.2 | 29.1
| S/N(c) | 19.2 | 27.2 | 28.8
| SN(E/C) | 0.94
|
|
|
|
|
|
|
8770064
| 47
| | Red | Green | Blue
| z | | 19.00
| znorm | | 14.82
| sky | 14.8 | 14.6 | 14.5
| S/N | 18.0 | 26.3 | 29.4
| S/N(c) | 19.3 | 27.6 | 29.1
| SN(E/C) | 0.92
|
|
|
|
|
|
|
8770065
| 47
| | Red | Green | Blue
| z | | 19.07
| znorm | | 14.89
| sky | 14.5 | 14.6 | 14.5
| S/N | 18.7 | 27.3 | 30.5
| S/N(c) | 20.1 | 28.5 | 30.2
| SN(E/C) | 0.93
|
|
|
|
|
|
|