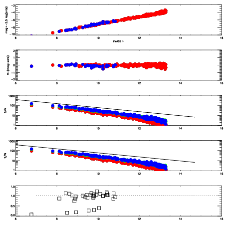
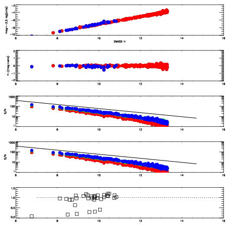
Left plots: red are targets, blue are telluric. Observed mags are calculated from median value of green chip. Zeropoint gives overall throughput: bigger number is more throughput.
First spatial plots: circles are objects, squares are tellurics, crosses are sky fibers. Colors give deviation of observed mag from expected 2MASS mag using the median zeropoint; red is brighter
Second spatial plots: circles are sky fibers. Colors give sky line brightness relative to plate median sky line brightness
FrameNreadsZeropointsMag plots Spatial mag deviation Spatial sky 16325A emission deviations (filled: sky, open: star) Spatial sky continuum emission Spatial sky telluric CO2 absorption deviations (filled: H < 10)
12540048 47
RedGreenBlue
z16.16
znorm11.98
sky 14.1 13.9 14.0
S/N 1.5 3.2 2.6
S/N(c) 4.6 6.8 3.1
SN(E/C) 1.01
12540049 47
RedGreenBlue
z17.20
znorm13.02
sky 14.5 14.3 14.4
S/N 3.2 7.1 6.8
S/N(c) 10.8 14.3 6.8
SN(E/C) 1.00
12540050 47
RedGreenBlue
z16.06
znorm11.88
sky 14.1 14.2 14.4
S/N 1.4 2.8 2.4
S/N(c) 4.6 6.9 3.1
SN(E/C) 1.04
12540051 47
RedGreenBlue
z17.12
znorm12.94
sky 14.5 14.5 14.5
S/N 3.0 6.6 6.6
S/N(c) 10.0 14.1 6.8
SN(E/C) 0.98