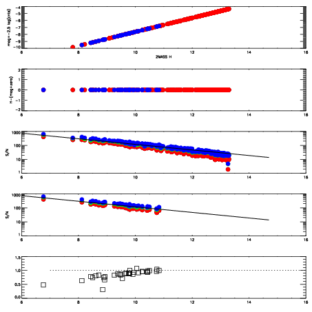
Left plots: red are targets, blue are telluric. Observed mags are calculated from median value of green chip. Zeropoint gives overall throughput: bigger number is more throughput.
First spatial plots: circles are objects, squares are tellurics, crosses are sky fibers. Colors give deviation of observed mag from expected 2MASS mag using the median zeropoint; red is brighter
Second spatial plots: circles are sky fibers. Colors give sky line brightness relative to plate median sky line brightness
FrameNreadsZeropointsMag plots Spatial mag deviation Spatial sky 16325A emission deviations (filled: sky, open: star) Spatial sky continuum emission Spatial sky telluric CO2 absorption deviations (filled: H < 10)
0 0
RedGreenBlue
z17.64
znorm Inf
sky -NaN -Inf -Inf
S/N 20.0 36.1 38.5
S/N(c) 0.0 0.0 0.0
SN(E/C) 0.88

IPAIRNAMESHIFTNEWSHIFTS/N NAMESHIFTNEWSHIFTS/N
0 12630049 0.482259 0.00000 19.0166 12630048 -0.00229738 0.484556 19.0518
1 12630046 0.481315 0.000944018 19.0524 12630047 -0.00127755 0.483537 19.0745
2 12630045 0.481527 0.000732005 19.0022 12630044 0.00000 0.482259 19.0287
3 12630050 0.482173 8.60095e-05 18.8587 12630051 -0.000767696 0.483027 18.0798