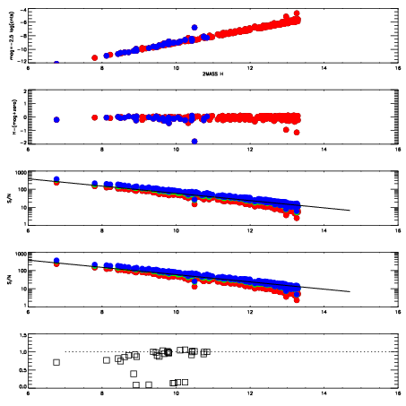
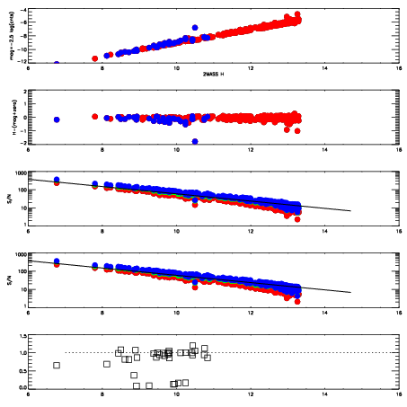
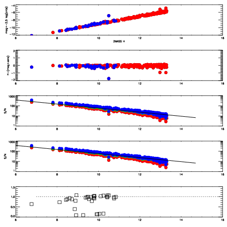
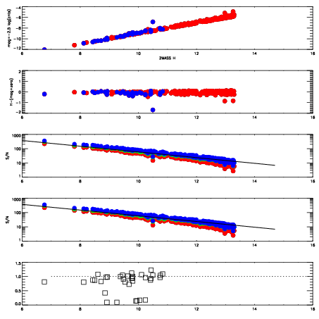
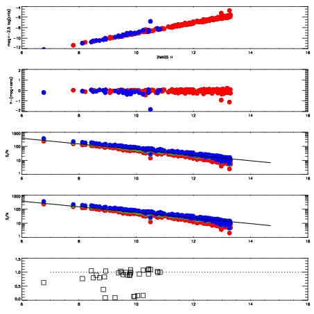
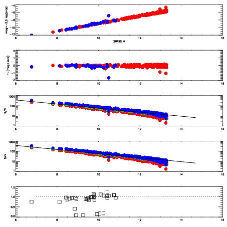
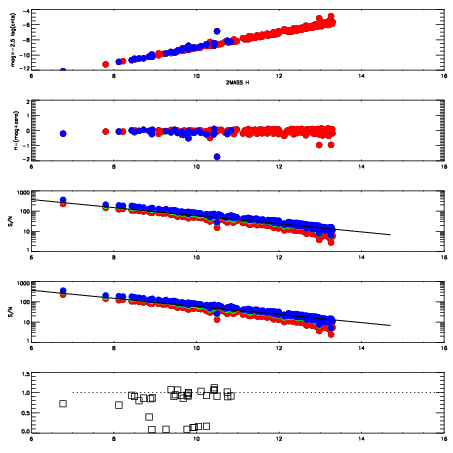
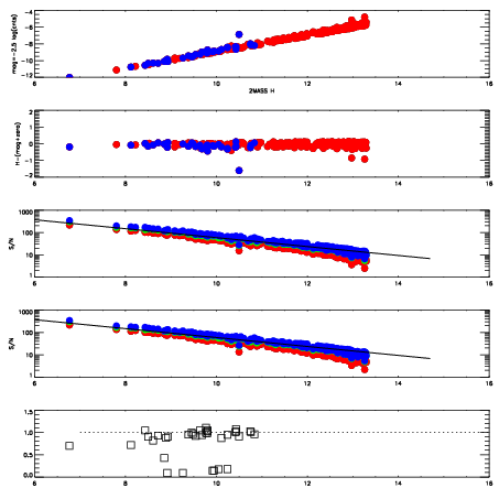
Frame | Nreads | Zeropoints | Mag plots
| Spatial mag deviation
| Spatial sky 16325A emission deviations (filled: sky, open: star)
| Spatial sky continuum emission
| Spatial sky telluric CO2 absorption deviations (filled: H < 10)
|
12750025
| 47
| | Red | Green | Blue
| z | | 19.10
| znorm | | 14.92
| sky | 14.3 | 14.2 | 14.3
| S/N | 13.6 | 23.0 | 24.8
| S/N(c) | 32.0 | 41.2 | 48.9
| SN(E/C) | 0.94
|
|
|
|
|
|
|
12750026
| 47
| | Red | Green | Blue
| z | | 19.12
| znorm | | 14.94
| sky | 14.3 | 14.2 | 14.5
| S/N | 14.8 | 24.1 | 26.3
| S/N(c) | 31.4 | 41.4 | 49.1
| SN(E/C) | 0.94
|
|
|
|
|
|
|
12750027
| 47
| | Red | Green | Blue
| z | | 19.10
| znorm | | 14.92
| sky | 14.3 | 14.2 | 14.5
| S/N | 13.7 | 23.1 | 25.0
| S/N(c) | 31.2 | 40.4 | 48.8
| SN(E/C) | 0.93
|
|
|
|
|
|
|
12750028
| 47
| | Red | Green | Blue
| z | | 19.00
| znorm | | 14.82
| sky | 14.3 | 14.3 | 14.6
| S/N | 13.5 | 22.4 | 24.5
| S/N(c) | 29.5 | 39.7 | 47.1
| SN(E/C) | 0.93
|
|
|
|
|
|
|
12750029
| 47
| | Red | Green | Blue
| z | | 18.97
| znorm | | 14.79
| sky | 14.4 | 14.3 | 14.6
| S/N | 12.5 | 21.5 | 23.4
| S/N(c) | 28.8 | 38.7 | 46.0
| SN(E/C) | 0.94
|
|
|
|
|
|
|
12750030
| 47
| | Red | Green | Blue
| z | | 19.02
| znorm | | 14.84
| sky | 14.3 | 14.4 | 14.6
| S/N | 13.3 | 22.3 | 24.5
| S/N(c) | 30.4 | 39.7 | 47.5
| SN(E/C) | 0.93
|
|
|
|
|
|
|
12750031
| 47
| | Red | Green | Blue
| z | | 19.10
| znorm | | 14.92
| sky | 14.2 | 14.4 | 14.7
| S/N | 14.0 | 22.9 | 25.6
| S/N(c) | 31.8 | 41.6 | 49.8
| SN(E/C) | 0.92
|
|
|
|
|
|
|
12750032
| 47
| | Red | Green | Blue
| z | | 19.10
| znorm | | 14.92
| sky | 14.3 | 14.5 | 14.6
| S/N | 13.3 | 22.7 | 24.8
| S/N(c) | 31.6 | 41.4 | 49.6
| SN(E/C) | 0.90
|
|
|
|
|
|
|