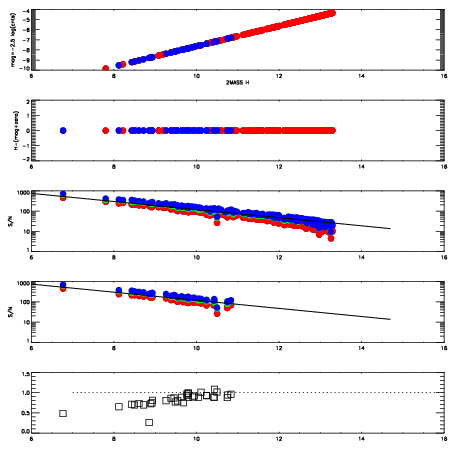
Left plots: red are targets, blue are telluric. Observed mags are calculated from median value of green chip. Zeropoint gives overall throughput: bigger number is more throughput.
First spatial plots: circles are objects, squares are tellurics, crosses are sky fibers. Colors give deviation of observed mag from expected 2MASS mag using the median zeropoint; red is brighter
Second spatial plots: circles are sky fibers. Colors give sky line brightness relative to plate median sky line brightness
FrameNreadsZeropointsMag plots Spatial mag deviation Spatial sky 16325A emission deviations (filled: sky, open: star) Spatial sky continuum emission Spatial sky telluric CO2 absorption deviations (filled: H < 10)
0 0
RedGreenBlue
z17.64
znorm Inf
sky -Inf -Inf -NaN
S/N 23.9 42.5 46.6
S/N(c) 0.0 0.0 0.0
SN(E/C) 0.88

IPAIRNAMESHIFTNEWSHIFTS/N NAMESHIFTNEWSHIFTS/N
0 12750031 0.487411 0.00000 19.0950 12750028 0.000109712 0.487301 18.9958
1 12750026 0.486067 0.00134400 19.1093 12750025 0.00000 0.487411 19.0912
2 12750027 0.486723 0.000687987 19.0970 12750032 0.000329664 0.487081 19.0896
3 12750030 0.486650 0.000761002 19.0127 12750029 0.000174001 0.487237 18.9591