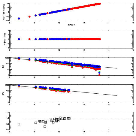
Left plots: red are targets, blue are telluric. Observed mags are calculated from median value of green chip. Zeropoint gives overall throughput: bigger number is more throughput.
First spatial plots: circles are objects, squares are tellurics, crosses are sky fibers. Colors give deviation of observed mag from expected 2MASS mag using the median zeropoint; red is brighter
Second spatial plots: circles are sky fibers. Colors give sky line brightness relative to plate median sky line brightness
FrameNreadsZeropointsMag plots Spatial mag deviation Spatial sky 16325A emission deviations (filled: sky, open: star) Spatial sky continuum emission Spatial sky telluric CO2 absorption deviations (filled: H < 10)
0 0
RedGreenBlue
z17.64
znorm Inf
sky -Inf -Inf -Inf
S/N 36.2 59.6 61.9
S/N(c) 0.0 0.0 0.0
SN(E/C) 0.84

IPAIRNAMESHIFTNEWSHIFTS/N NAMESHIFTNEWSHIFTS/N
0 12520076 0.493386 0.00000 19.0837 12520078 -0.000279188 0.493665 19.1160
1 12520079 0.490087 0.00329900 19.1166 12520070 0.00000 0.493386 19.1825
2 12520071 0.488714 0.00467199 19.1033 12520077 0.000162757 0.493223 19.1326
3 12520075 0.491581 0.00180501 19.0663 12520074 -0.000113049 0.493499 19.0647
4 12520072 0.489731 0.00365499 19.0557 12520073 -3.35055e-05 0.493419 19.0195