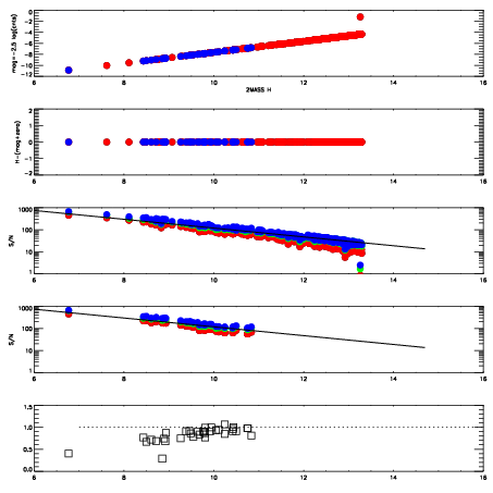
Left plots: red are targets, blue are telluric. Observed mags are calculated from median value of green chip. Zeropoint gives overall throughput: bigger number is more throughput.
First spatial plots: circles are objects, squares are tellurics, crosses are sky fibers. Colors give deviation of observed mag from expected 2MASS mag using the median zeropoint; red is brighter
Second spatial plots: circles are sky fibers. Colors give sky line brightness relative to plate median sky line brightness
FrameNreadsZeropointsMag plots Spatial mag deviation Spatial sky 16325A emission deviations (filled: sky, open: star) Spatial sky continuum emission Spatial sky telluric CO2 absorption deviations (filled: H < 10)
0 0
RedGreenBlue
z17.64
znorm Inf
sky -NaN -Inf -Inf
S/N 27.8 48.6 49.8
S/N(c) 0.0 0.0 0.0
SN(E/C) 0.90

IPAIRNAMESHIFTNEWSHIFTS/N NAMESHIFTNEWSHIFTS/N
0 12560054 0.488435 0.00000 19.1233 12560052 0.000181209 0.488254 19.0832
1 12560053 0.488426 9.00030e-06 19.1253 12560055 0.00283674 0.485598 19.1071
2 12560050 0.485535 0.00290000 18.9126 12560051 -0.000608822 0.489044 18.9646
3 12560049 0.485153 0.00328201 18.9098 12560048 0.00000 0.488435 18.9155