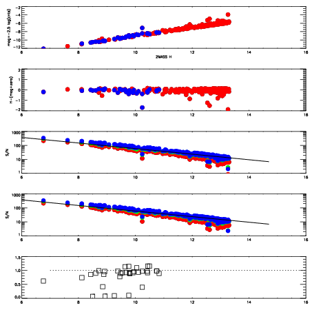
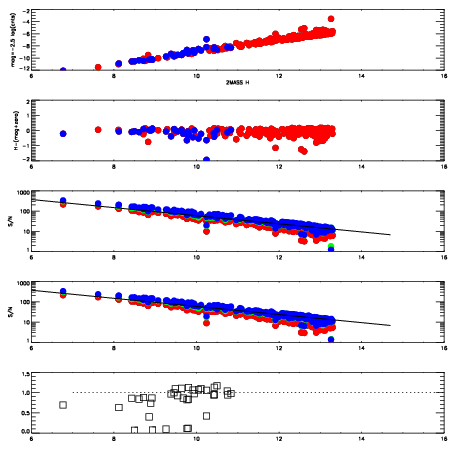
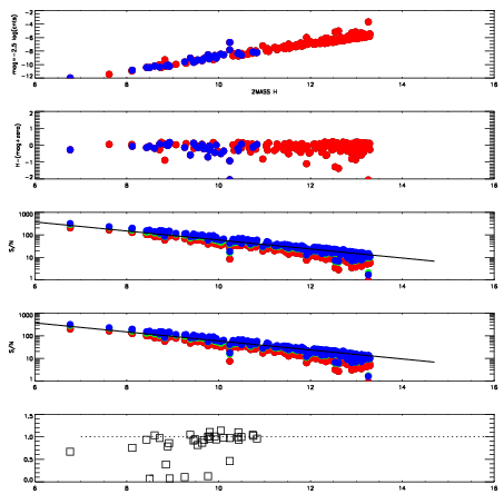
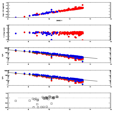
Frame | Nreads | Zeropoints | Mag plots
| Spatial mag deviation
| Spatial sky 16325A emission deviations (filled: sky, open: star)
| Spatial sky continuum emission
| Spatial sky telluric CO2 absorption deviations (filled: H < 10)
|
12620044
| 47
| | Red | Green | Blue
| z | | 19.00
| znorm | | 14.82
| sky | 14.3 | 14.0 | 14.1
| S/N | 16.7 | 26.3 | 27.7
| S/N(c) | 6.4 | 15.4 | 48.9
| SN(E/C) | 0.94
|
|
|
|
|
|
|
12620045
| 47
| | Red | Green | Blue
| z | | 19.01
| znorm | | 14.83
| sky | 14.2 | 14.0 | 14.1
| S/N | 16.6 | 26.0 | 27.3
| S/N(c) | 6.4 | 15.5 | 49.5
| SN(E/C) | 0.95
|
|
|
|
|
|
|
12620046
| 47
| | Red | Green | Blue
| z | | 19.08
| znorm | | 14.90
| sky | 14.2 | 14.1 | 14.2
| S/N | 17.4 | 27.6 | 28.4
| S/N(c) | 6.7 | 15.7 | 51.6
| SN(E/C) | 0.92
|
|
|
|
|
|
|
12620047
| 47
| | Red | Green | Blue
| z | | 19.05
| znorm | | 14.87
| sky | 14.2 | 14.0 | 14.1
| S/N | 17.3 | 27.4 | 28.0
| S/N(c) | 6.7 | 16.0 | 51.6
| SN(E/C) | 0.96
|
|
|
|
|
|
|
12620048
| 47
| | Red | Green | Blue
| z | | 19.01
| znorm | | 14.83
| sky | 14.2 | 14.1 | 14.2
| S/N | 17.0 | 26.7 | 27.9
| S/N(c) | 6.6 | 15.9 | 51.0
| SN(E/C) | 0.93
|
|
|
|
|
|
|
12620049
| 47
| | Red | Green | Blue
| z | | 19.09
| znorm | | 14.91
| sky | 14.2 | 14.1 | 14.2
| S/N | 17.7 | 28.4 | 29.2
| S/N(c) | 6.9 | 16.7 | 53.4
| SN(E/C) | 0.91
|
|
|
|
|
|
|
12620050
| 47
| | Red | Green | Blue
| z | | 19.06
| znorm | | 14.88
| sky | 14.3 | 14.2 | 14.2
| S/N | 17.4 | 27.6 | 28.8
| S/N(c) | 6.8 | 16.5 | 53.7
| SN(E/C) | 0.91
|
|
|
|
|
|
|
12620051
| 47
| | Red | Green | Blue
| z | | 19.09
| znorm | | 14.91
| sky | 14.3 | 14.2 | 14.2
| S/N | 17.9 | 28.2 | 29.3
| S/N(c) | 6.9 | 16.8 | 54.8
| SN(E/C) | 0.94
|
|
|
|
|
|
|