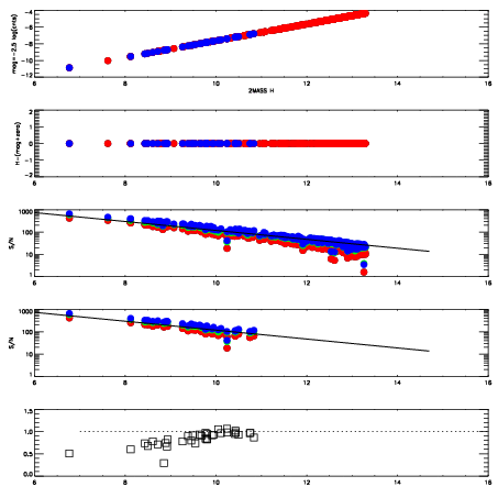
Left plots: red are targets, blue are telluric. Observed mags are calculated from median value of green chip. Zeropoint gives overall throughput: bigger number is more throughput.
First spatial plots: circles are objects, squares are tellurics, crosses are sky fibers. Colors give deviation of observed mag from expected 2MASS mag using the median zeropoint; red is brighter
Second spatial plots: circles are sky fibers. Colors give sky line brightness relative to plate median sky line brightness
FrameNreadsZeropointsMag plots Spatial mag deviation Spatial sky 16325A emission deviations (filled: sky, open: star) Spatial sky continuum emission Spatial sky telluric CO2 absorption deviations (filled: H < 10)
0 0
RedGreenBlue
z17.64
znorm Inf
sky -Inf -NaN -Inf
S/N 31.0 50.8 52.2
S/N(c) 0.0 0.0 0.0
SN(E/C) 0.89

IPAIRNAMESHIFTNEWSHIFTS/N NAMESHIFTNEWSHIFTS/N
0 12620050 0.484521 0.00000 19.0420 12620048 -0.000691725 0.485213 18.9897
1 12620049 0.484169 0.000351995 19.0850 12620051 -0.00208647 0.486607 19.0780
2 12620046 0.483333 0.00118801 19.0511 12620047 -0.000356032 0.484877 19.0314
3 12620045 0.482922 0.00159901 18.9676 12620044 0.00000 0.484521 18.9835