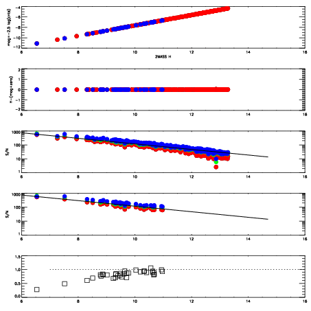
Left plots: red are targets, blue are telluric. Observed mags are calculated from median value of green chip. Zeropoint gives overall throughput: bigger number is more throughput.
First spatial plots: circles are objects, squares are tellurics, crosses are sky fibers. Colors give deviation of observed mag from expected 2MASS mag using the median zeropoint; red is brighter
Second spatial plots: circles are sky fibers. Colors give sky line brightness relative to plate median sky line brightness
FrameNreadsZeropointsMag plots Spatial mag deviation Spatial sky 16325A emission deviations (filled: sky, open: star) Spatial sky continuum emission Spatial sky telluric CO2 absorption deviations (filled: H < 10)
0 0
RedGreenBlue
z17.64
znorm Inf
sky -Inf -Inf -Inf
S/N 27.3 43.7 50.2
S/N(c) 0.0 0.0 0.0
SN(E/C) 0.83

IPAIRNAMESHIFTNEWSHIFTS/N NAMESHIFTNEWSHIFTS/N
0 12560065 0.483722 0.00000 19.1130 12560062 -0.00179837 0.485520 19.1480
1 12560061 0.482027 0.00169501 19.1170 12560066 0.000244943 0.483477 19.1592
2 12560060 0.482618 0.00110400 19.1006 12560063 -0.00148112 0.485203 19.1111
3 12560064 0.482358 0.00136399 19.0496 12560059 0.00000 0.483722 18.9957