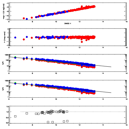
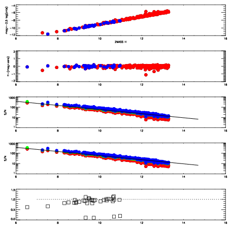
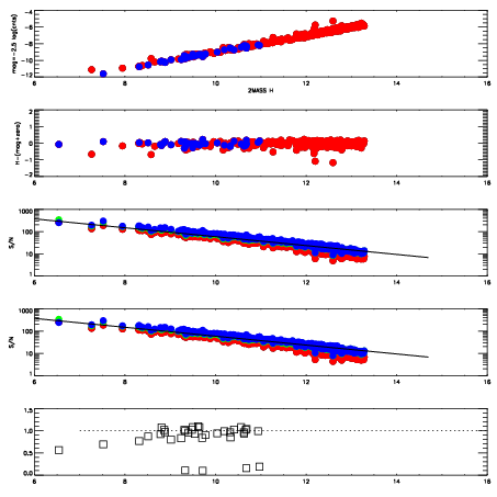
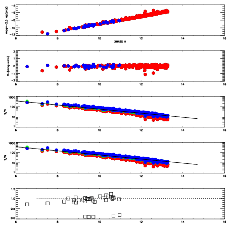
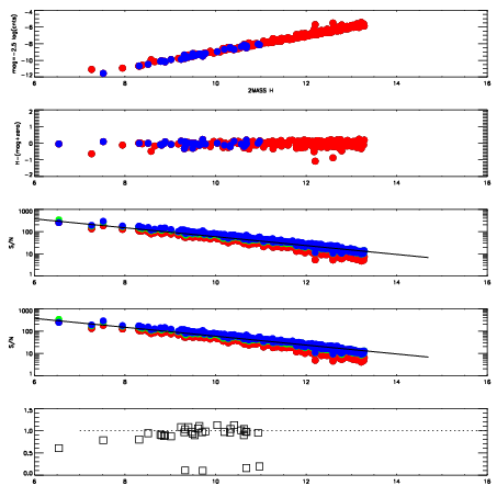
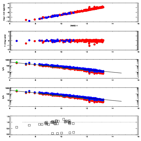
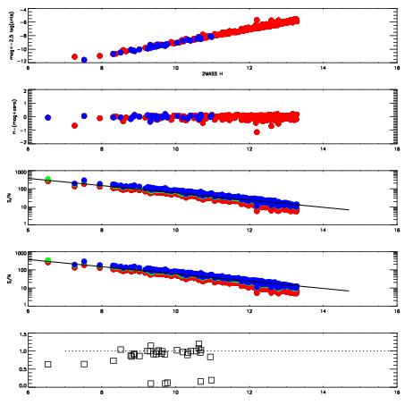
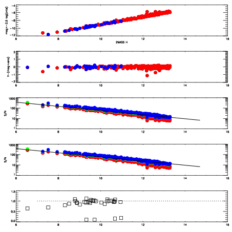
Frame | Nreads | Zeropoints | Mag plots
| Spatial mag deviation
| Spatial sky 16325A emission deviations (filled: sky, open: star)
| Spatial sky continuum emission
| Spatial sky telluric CO2 absorption deviations (filled: H < 10)
|
12620055
| 47
| | Red | Green | Blue
| z | | 19.04
| znorm | | 14.86
| sky | 14.5 | 14.2 | 14.1
| S/N | 14.9 | 23.1 | 24.6
| S/N(c) | 16.8 | 12.8 | 48.3
| SN(E/C) | 0.96
|
|
|
|
|
|
|
12620056
| 47
| | Red | Green | Blue
| z | | 19.01
| znorm | | 14.83
| sky | 14.3 | 14.2 | 14.4
| S/N | 14.6 | 22.8 | 24.3
| S/N(c) | 16.5 | 12.6 | 47.8
| SN(E/C) | 0.96
|
|
|
|
|
|
|
12620057
| 47
| | Red | Green | Blue
| z | | 19.05
| znorm | | 14.87
| sky | 14.2 | 14.2 | 14.3
| S/N | 14.8 | 23.3 | 25.0
| S/N(c) | 16.7 | 12.7 | 48.2
| SN(E/C) | 0.95
|
|
|
|
|
|
|
12620058
| 47
| | Red | Green | Blue
| z | | 18.99
| znorm | | 14.81
| sky | 14.2 | 14.3 | 14.3
| S/N | 14.2 | 23.0 | 24.4
| S/N(c) | 16.1 | 12.5 | 46.5
| SN(E/C) | 0.96
|
|
|
|
|
|
|
12620059
| 47
| | Red | Green | Blue
| z | | 19.01
| znorm | | 14.83
| sky | 14.2 | 14.2 | 14.4
| S/N | 14.4 | 23.0 | 24.9
| S/N(c) | 16.3 | 12.6 | 47.4
| SN(E/C) | 0.95
|
|
|
|
|
|
|
12620060
| 47
| | Red | Green | Blue
| z | | 19.09
| znorm | | 14.91
| sky | 14.3 | 14.3 | 14.4
| S/N | 15.1 | 23.9 | 26.6
| S/N(c) | 17.2 | 13.2 | 49.2
| SN(E/C) | 0.96
|
|
|
|
|
|
|
12620061
| 47
| | Red | Green | Blue
| z | | 19.07
| znorm | | 14.89
| sky | 14.1 | 14.1 | 14.2
| S/N | 14.9 | 23.5 | 25.9
| S/N(c) | 16.9 | 13.0 | 48.5
| SN(E/C) | 0.94
|
|
|
|
|
|
|
12620062
| 47
| | Red | Green | Blue
| z | | 19.04
| znorm | | 14.86
| sky | 14.0 | 13.9 | 13.9
| S/N | 14.6 | 23.1 | 25.5
| S/N(c) | 16.5 | 12.8 | 46.8
| SN(E/C) | 0.92
|
|
|
|
|
|
|