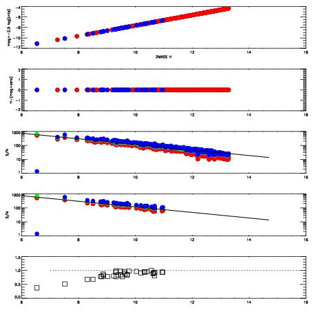
Left plots: red are targets, blue are telluric. Observed mags are calculated from median value of green chip. Zeropoint gives overall throughput: bigger number is more throughput.
First spatial plots: circles are objects, squares are tellurics, crosses are sky fibers. Colors give deviation of observed mag from expected 2MASS mag using the median zeropoint; red is brighter
Second spatial plots: circles are sky fibers. Colors give sky line brightness relative to plate median sky line brightness
FrameNreadsZeropointsMag plots Spatial mag deviation Spatial sky 16325A emission deviations (filled: sky, open: star) Spatial sky continuum emission Spatial sky telluric CO2 absorption deviations (filled: H < 10)
0 0
RedGreenBlue
z17.64
znorm Inf
sky -Inf -Inf -Inf
S/N 26.3 42.4 47.8
S/N(c) 0.0 0.0 0.0
SN(E/C) 0.88

IPAIRNAMESHIFTNEWSHIFTS/N NAMESHIFTNEWSHIFTS/N
0 12620061 0.485260 0.00000 19.0586 12620055 0.00000 0.485260 19.0316
1 12620060 0.484326 0.000934005 19.0807 12620062 0.000653288 0.484607 19.0339
2 12620057 0.483404 0.00185600 19.0360 12620059 -0.00134284 0.486603 18.9885
3 12620056 0.482615 0.00264502 19.0005 12620058 -0.00165131 0.486911 18.9732