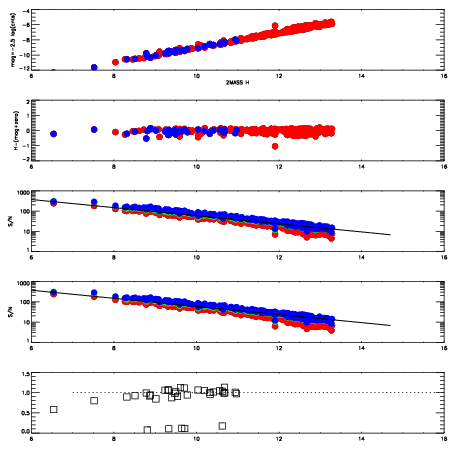
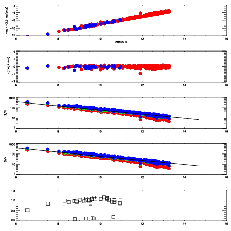
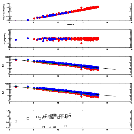
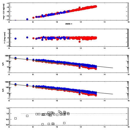
Left plots: red are targets, blue are telluric. Observed mags are calculated from median value of green chip. Zeropoint gives overall throughput: bigger number is more throughput.
First spatial plots: circles are objects, squares are tellurics, crosses are sky fibers. Colors give deviation of observed mag from expected 2MASS mag using the median zeropoint; red is brighter
Second spatial plots: circles are sky fibers. Colors give sky line brightness relative to plate median sky line brightness
FrameNreadsZeropointsMag plots Spatial mag deviation Spatial sky 16325A emission deviations (filled: sky, open: star) Spatial sky continuum emission Spatial sky telluric CO2 absorption deviations (filled: H < 10)
12480044 47
RedGreenBlue
z18.97
znorm14.79
sky 14.7 14.5 14.6
S/N 15.6 23.8 25.7
S/N(c) 16.5 28.8 48.3
SN(E/C) 0.93
12480045 47
RedGreenBlue
z18.99
znorm14.81
sky 14.6 14.6 14.9
S/N 15.9 24.0 26.6
S/N(c) 16.5 29.1 49.1
SN(E/C) 0.97
12480046 47
RedGreenBlue
z19.08
znorm14.90
sky 14.8 14.6 15.0
S/N 16.6 25.2 27.9
S/N(c) 17.3 30.3 51.7
SN(E/C) 0.98
12480047 47
RedGreenBlue
z19.13
znorm14.95
sky 14.8 14.7 14.9
S/N 16.9 26.0 28.7
S/N(c) 17.7 30.6 52.0
SN(E/C) 0.92