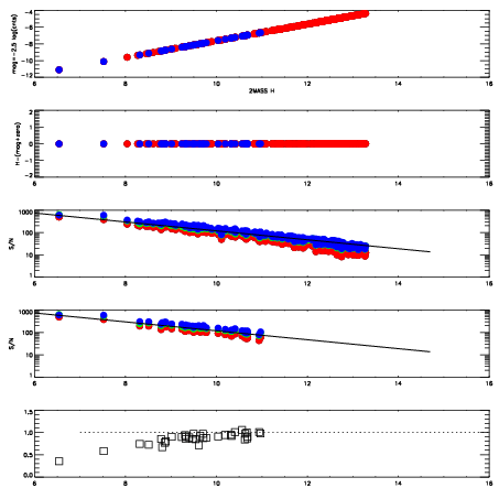
Left plots: red are targets, blue are telluric. Observed mags are calculated from median value of green chip. Zeropoint gives overall throughput: bigger number is more throughput.
First spatial plots: circles are objects, squares are tellurics, crosses are sky fibers. Colors give deviation of observed mag from expected 2MASS mag using the median zeropoint; red is brighter
Second spatial plots: circles are sky fibers. Colors give sky line brightness relative to plate median sky line brightness
FrameNreadsZeropointsMag plots Spatial mag deviation Spatial sky 16325A emission deviations (filled: sky, open: star) Spatial sky continuum emission Spatial sky telluric CO2 absorption deviations (filled: H < 10)
0 0
RedGreenBlue
z17.64
znorm Inf
sky -Inf -Inf -Inf
S/N 28.6 47.4 50.4
S/N(c) 0.0 0.0 0.0
SN(E/C) 0.89

IPAIRNAMESHIFTNEWSHIFTS/N NAMESHIFTNEWSHIFTS/N
0 12580049 0.489722 0.00000 18.8979 12580047 -0.000675315 0.490397 18.9697
1 12580045 0.487517 0.00220501 19.0662 12580044 0.00000 0.489722 19.0634
2 12580046 0.488430 0.00129202 18.9809 12580048 0.000197446 0.489525 19.0168
3 12580050 0.489431 0.000291020 18.8153 12580051 0.000411161 0.489311 18.8471