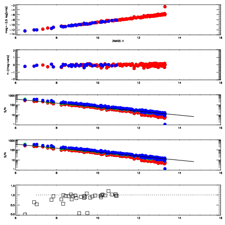
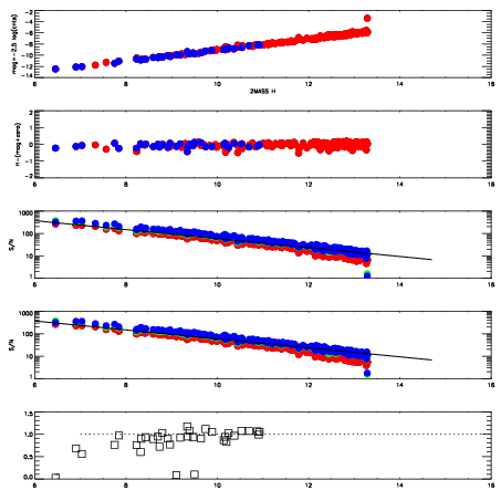
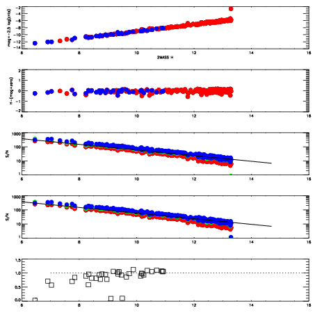
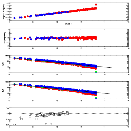
Left plots: red are targets, blue are telluric. Observed mags are calculated from median value of green chip. Zeropoint gives overall throughput: bigger number is more throughput.
First spatial plots: circles are objects, squares are tellurics, crosses are sky fibers. Colors give deviation of observed mag from expected 2MASS mag using the median zeropoint; red is brighter
Second spatial plots: circles are sky fibers. Colors give sky line brightness relative to plate median sky line brightness
FrameNreadsZeropointsMag plots Spatial mag deviation Spatial sky 16325A emission deviations (filled: sky, open: star) Spatial sky continuum emission Spatial sky telluric CO2 absorption deviations (filled: H < 10)
12710050 47
RedGreenBlue
z19.13
znorm14.95
sky 14.6 14.3 14.3
S/N 16.4 26.0 27.6
S/N(c) 10.8 15.9 55.0
SN(E/C) 0.93
12710051 47
RedGreenBlue
z19.13
znorm14.95
sky 14.5 14.3 14.5
S/N 16.8 26.4 28.2
S/N(c) 10.7 16.2 56.6
SN(E/C) 0.90
12710052 47
RedGreenBlue
z19.11
znorm14.93
sky 14.6 14.4 14.5
S/N 16.1 25.8 27.8
S/N(c) 10.6 15.6 56.4
SN(E/C) 0.93
12710053 47
RedGreenBlue
z19.10
znorm14.92
sky 14.5 14.5 14.5
S/N 16.1 26.5 27.8
S/N(c) 10.7 16.0 56.2
SN(E/C) 0.94