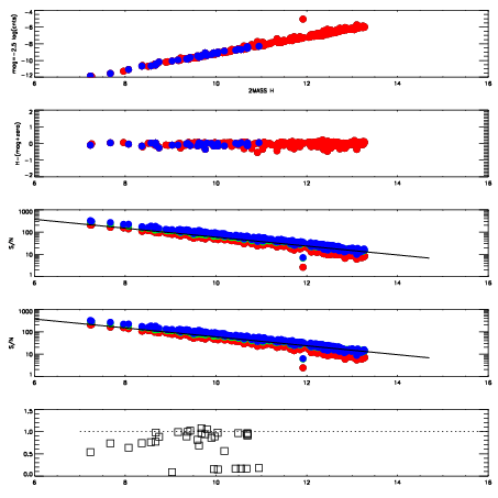
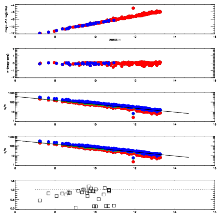
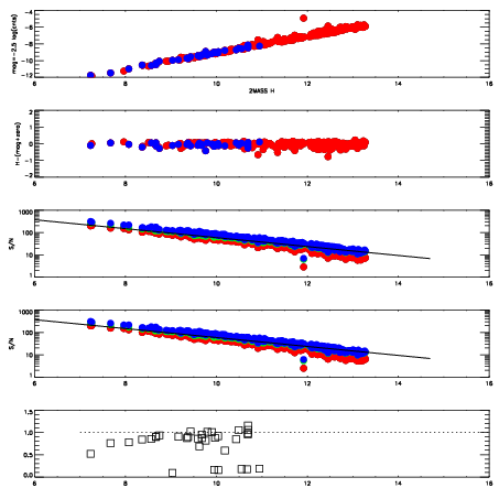
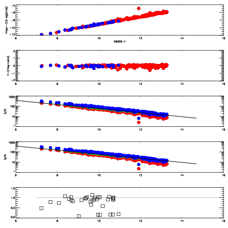
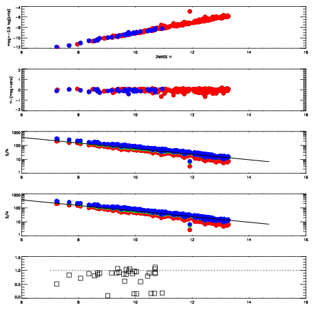
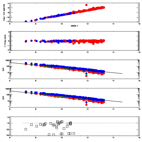
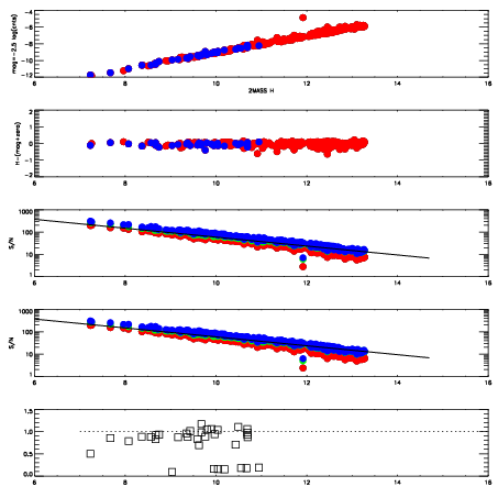
Frame | Nreads | Zeropoints | Mag plots
| Spatial mag deviation
| Spatial sky 16325A emission deviations (filled: sky, open: star)
| Spatial sky continuum emission
| Spatial sky telluric CO2 absorption deviations (filled: H < 10)
|
12840022
| 47
| | Red | Green | Blue
| z | | 19.17
| znorm | | 14.99
| sky | 14.8 | 14.4 | 14.5
| S/N | 16.1 | 26.3 | 26.6
| S/N(c) | 31.1 | 12.1 | 25.3
| SN(E/C) | 0.88
|
|
|
|
|
|
|
12840023
| 47
| | Red | Green | Blue
| z | | 19.19
| znorm | | 15.01
| sky | 14.6 | 14.5 | 14.9
| S/N | 16.2 | 25.9 | 28.2
| S/N(c) | 31.9 | 12.4 | 25.9
| SN(E/C) | 0.89
|
|
|
|
|
|
|
12840024
| 47
| | Red | Green | Blue
| z | | 19.17
| znorm | | 14.98
| sky | 14.8 | 14.6 | 14.8
| S/N | 15.9 | 25.7 | 27.6
| S/N(c) | 31.4 | 12.2 | 25.6
| SN(E/C) | 0.86
|
|
|
|
|
|
|
12840025
| 47
| | Red | Green | Blue
| z | | 19.15
| znorm | | 14.97
| sky | 14.7 | 14.5 | 14.8
| S/N | 16.0 | 25.8 | 27.9
| S/N(c) | 31.2 | 12.2 | 25.4
| SN(E/C) | 0.90
|
|
|
|
|
|
|
12840026
| 47
| | Red | Green | Blue
| z | | 19.09
| znorm | | 14.91
| sky | 14.8 | 14.7 | 15.0
| S/N | 15.4 | 25.1 | 27.4
| S/N(c) | 29.9 | 11.9 | 24.6
| SN(E/C) | 0.88
|
|
|
|
|
|
|
12840027
| 47
| | Red | Green | Blue
| z | | 19.09
| znorm | | 14.91
| sky | 15.3 | 15.0 | 15.1
| S/N | 15.5 | 25.3 | 27.5
| S/N(c) | 30.0 | 11.9 | 24.5
| SN(E/C) | 0.87
|
|
|
|
|
|
|
12840028
| 47
| | Red | Green | Blue
| z | | 19.12
| znorm | | 14.94
| sky | 14.8 | 14.9 | 15.1
| S/N | 15.5 | 25.3 | 27.4
| S/N(c) | 30.3 | 12.2 | 25.0
| SN(E/C) | 0.87
|
|
|
|
|
|
|
12840029
| 47
| | Red | Green | Blue
| z | | 19.08
| znorm | | 14.90
| sky | 15.0 | 14.9 | 15.1
| S/N | 15.4 | 24.9 | 26.7
| S/N(c) | 29.6 | 11.9 | 24.6
| SN(E/C) | 0.88
|
|
|
|
|
|
|