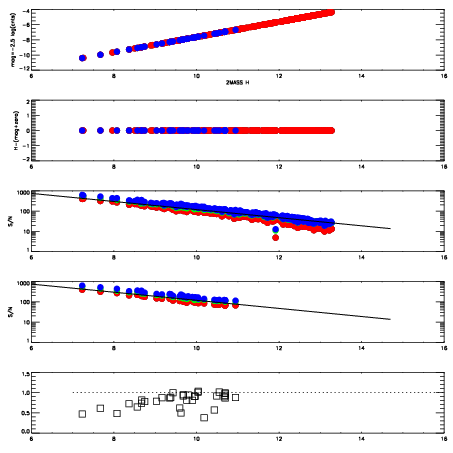
Left plots: red are targets, blue are telluric. Observed mags are calculated from median value of green chip. Zeropoint gives overall throughput: bigger number is more throughput.
First spatial plots: circles are objects, squares are tellurics, crosses are sky fibers. Colors give deviation of observed mag from expected 2MASS mag using the median zeropoint; red is brighter
Second spatial plots: circles are sky fibers. Colors give sky line brightness relative to plate median sky line brightness
FrameNreadsZeropointsMag plots Spatial mag deviation Spatial sky 16325A emission deviations (filled: sky, open: star) Spatial sky continuum emission Spatial sky telluric CO2 absorption deviations (filled: H < 10)
0 0
RedGreenBlue
z17.63
znorm Inf
sky -NaN -NaN -NaN
S/N 28.5 48.0 51.2
S/N(c) 0.0 0.0 0.0
SN(E/C) 0.87

IPAIRNAMESHIFTNEWSHIFTS/N NAMESHIFTNEWSHIFTS/N
0 12840028 0.480085 0.00000 19.1072 12840029 -0.00809078 0.488176 19.0702
1 12840023 0.479506 0.000579000 19.1863 12840022 0.00000 0.480085 19.1650
2 12840024 0.479912 0.000172973 19.1580 12840025 -0.00546873 0.485554 19.1477
3 12840027 0.479025 0.00105998 19.0765 12840026 -0.00583882 0.485924 19.0692