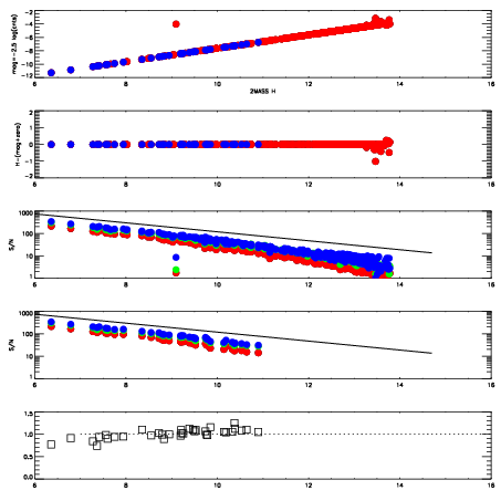
Left plots: red are targets, blue are telluric. Observed mags are calculated from median value of green chip. Zeropoint gives overall throughput: bigger number is more throughput.
First spatial plots: circles are objects, squares are tellurics, crosses are sky fibers. Colors give deviation of observed mag from expected 2MASS mag using the median zeropoint; red is brighter
Second spatial plots: circles are sky fibers. Colors give sky line brightness relative to plate median sky line brightness
FrameNreadsZeropointsMag plots Spatial mag deviation Spatial sky 16325A emission deviations (filled: sky, open: star) Spatial sky continuum emission Spatial sky telluric CO2 absorption deviations (filled: H < 10)
0 0
RedGreenBlue
z17.64
znorm Inf
sky -Inf -NaN -Inf
S/N 5.9 11.4 10.6
S/N(c) 0.0 0.0 0.0
SN(E/C) 1.02

IPAIRNAMESHIFTNEWSHIFTS/N NAMESHIFTNEWSHIFTS/N
0 10680012 0.509132 0.00000 17.4429 10680018 0.000480524 0.508651 17.2688
1 10680013 0.508939 0.000193000 17.1944 10680014 -0.00175194 0.510884 17.0552
2 10680017 0.507391 0.00174105 16.9935 10680011 0.00000 0.509132 16.8610
3 10680016 0.507406 0.00172603 16.5139 10680015 -0.00182989 0.510962 15.4562