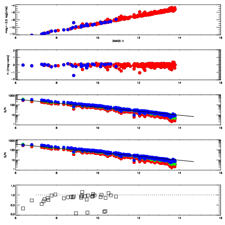
Frame | Nreads | Zeropoints | Mag plots
| Spatial mag deviation
| Spatial sky 16325A emission deviations (filled: sky, open: star)
| Spatial sky continuum emission
| Spatial sky telluric CO2 absorption deviations (filled: H < 10)
|
10790010
| 47
| | Red | Green | Blue
| z | | 18.96
| znorm | | 14.78
| sky | 13.8 | 13.5 | 13.2
| S/N | 14.4 | 21.4 | 22.2
| S/N(c) | 8.3 | 15.8 | 14.3
| SN(E/C) | 0.88
|
|
|
|
|
|
|
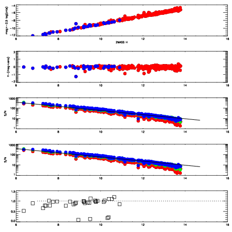
10790011
| 47
| | Red | Green | Blue
| z | | 19.02
| znorm | | 14.84
| sky | 14.1 | 13.9 | 13.7
| S/N | 14.2 | 21.8 | 23.9
| S/N(c) | 8.4 | 16.2 | 15.1
| SN(E/C) | 0.90
|
|
|
|
|
|
|
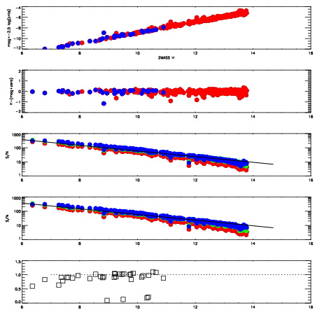
10790012
| 47
| | Red | Green | Blue
| z | | 18.91
| znorm | | 14.73
| sky | 14.6 | 14.2 | 14.2
| S/N | 13.6 | 22.1 | 22.9
| S/N(c) | 7.8 | 14.8 | 14.2
| SN(E/C) | 0.91
|
|
|
|
|
|
|
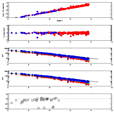
10790013
| 47
| | Red | Green | Blue
| z | | 18.87
| znorm | | 14.69
| sky | 14.7 | 14.4 | 14.4
| S/N | 12.5 | 20.6 | 22.3
| S/N(c) | 7.7 | 14.6 | 14.2
| SN(E/C) | 0.94
|
|
|
|
|
|
|
10790014
| 47
| | Red | Green | Blue
| z | | 18.87
| znorm | | 14.69
| sky | 14.8 | 14.5 | 14.4
| S/N | 13.3 | 20.8 | 22.6
| S/N(c) | 7.6 | 14.5 | 13.8
| SN(E/C) | 0.93
|
|
|
|
|
|
|
10790015
| 47
| | Red | Green | Blue
| z | | 18.84
| znorm | | 14.66
| sky | 14.8 | 14.5 | 14.4
| S/N | 12.5 | 19.7 | 21.8
| S/N(c) | 7.4 | 14.4 | 14.1
| SN(E/C) | 0.91
|
|
|
|
|
|
|
10790016
| 47
| | Red | Green | Blue
| z | | 18.95
| znorm | | 14.77
| sky | 14.6 | 14.5 | 14.4
| S/N | 13.8 | 21.4 | 23.5
| S/N(c) | 7.8 | 15.2 | 14.4
| SN(E/C) | 0.92
|
|
|
|
|
|
|
10790017
| 47
| | Red | Green | Blue
| z | | 18.93
| znorm | | 14.75
| sky | 14.9 | 14.5 | 14.5
| S/N | 13.7 | 21.0 | 23.2
| S/N(c) | 7.6 | 15.0 | 14.4
| SN(E/C) | 0.93
|
|
|
|
|
|
|