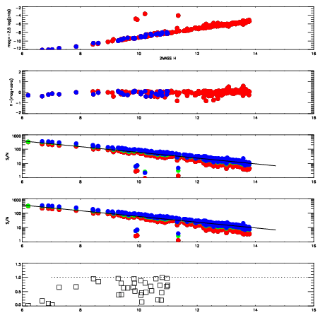
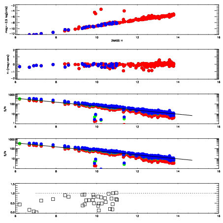
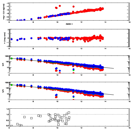
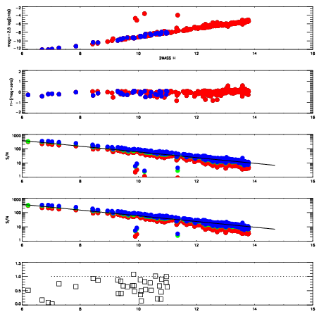
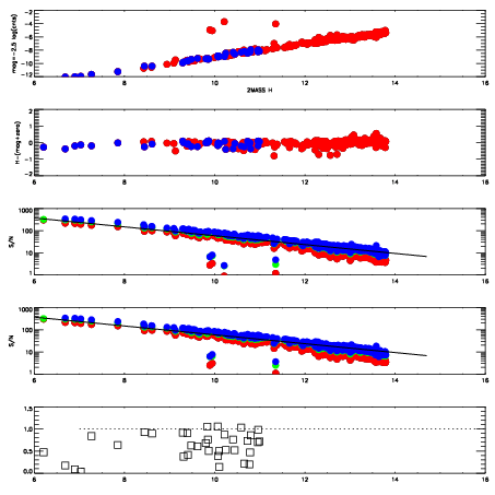
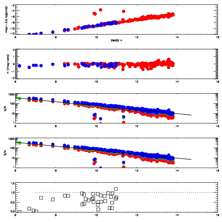
Frame | Nreads | Zeropoints | Mag plots
| Spatial mag deviation
| Spatial sky 16325A emission deviations (filled: sky, open: star)
| Spatial sky continuum emission
| Spatial sky telluric CO2 absorption deviations (filled: H < 10)
|
12750036
| 47
| | Red | Green | Blue
| z | | 19.16
| znorm | | 14.98
| sky | 14.4 | 14.3 | 14.3
| S/N | 16.4 | 26.6 | 28.8
| S/N(c) | 11.5 | 24.7 | 50.0
| SN(E/C) | 0.65
|
|
|
|
|
|
|
12750037
| 47
| | Red | Green | Blue
| z | | 19.12
| znorm | | 14.94
| sky | 14.4 | 14.4 | 14.8
| S/N | 15.8 | 25.9 | 28.4
| S/N(c) | 11.2 | 24.3 | 49.3
| SN(E/C) | 0.64
|
|
|
|
|
|
|
12750038
| 47
| | Red | Green | Blue
| z | | 19.11
| znorm | | 14.92
| sky | 14.3 | 14.4 | 14.7
| S/N | 15.8 | 25.7 | 28.2
| S/N(c) | 11.1 | 24.0 | 49.0
| SN(E/C) | 0.64
|
|
|
|
|
|
|
12750039
| 47
| | Red | Green | Blue
| z | | 19.15
| znorm | | 14.97
| sky | 14.3 | 14.5 | 14.8
| S/N | 16.1 | 26.9 | 28.4
| S/N(c) | 11.4 | 24.7 | 50.5
| SN(E/C) | 0.61
|
|
|
|
|
|
|
12750040
| 47
| | Red | Green | Blue
| z | | 19.15
| znorm | | 14.96
| sky | 14.5 | 14.6 | 14.8
| S/N | 16.1 | 26.6 | 28.7
| S/N(c) | 11.5 | 24.9 | 49.9
| SN(E/C) | 0.65
|
|
|
|
|
|
|
12750041
| 47
| | Red | Green | Blue
| z | | 19.12
| znorm | | 14.94
| sky | 14.3 | 14.6 | 14.9
| S/N | 16.0 | 26.7 | 28.3
| S/N(c) | 11.3 | 24.3 | 49.7
| SN(E/C) | 0.66
|
|
|
|
|
|
|
12750042
| 47
| | Red | Green | Blue
| z | | 19.15
| znorm | | 14.97
| sky | 14.4 | 14.6 | 14.9
| S/N | 15.9 | 26.6 | 28.8
| S/N(c) | 11.5 | 24.9 | 50.2
| SN(E/C) | 0.62
|
|
|
|
|
|
|
12750043
| 47
| | Red | Green | Blue
| z | | 19.16
| znorm | | 14.98
| sky | 14.5 | 14.7 | 15.0
| S/N | 16.5 | 27.3 | 29.1
| S/N(c) | 11.5 | 24.9 | 50.7
| SN(E/C) | 0.63
|
|
|
|
|
|
|