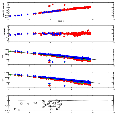
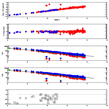
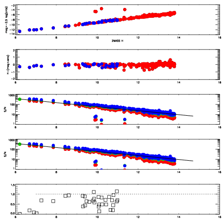
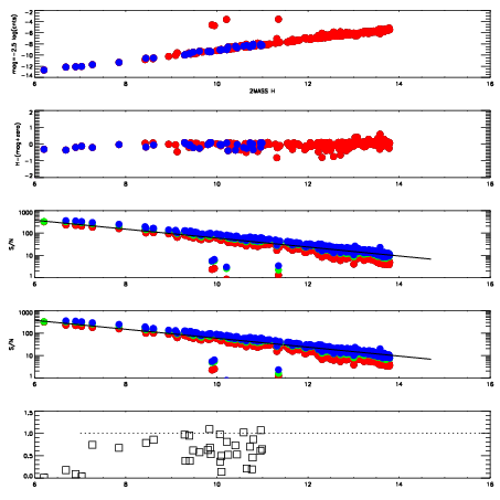
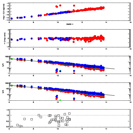
Frame | Nreads | Zeropoints | Mag plots
| Spatial mag deviation
| Spatial sky 16325A emission deviations (filled: sky, open: star)
| Spatial sky continuum emission
| Spatial sky telluric CO2 absorption deviations (filled: H < 10)
|
12760034
| 47
| | Red | Green | Blue
| z | | 19.16
| znorm | | 14.98
| sky | 14.3 | 14.3 | 14.3
| S/N | 17.5 | 27.9 | 29.3
| S/N(c) | 11.9 | 25.0 | 50.2
| SN(E/C) | 0.61
|
|
|
|
|
|
|
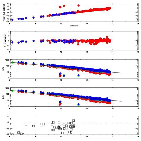
12760035
| 47
| | Red | Green | Blue
| z | | 19.15
| znorm | | 14.97
| sky | 14.3 | 14.5 | 14.7
| S/N | 16.9 | 27.4 | 29.5
| S/N(c) | 11.6 | 24.7 | 50.2
| SN(E/C) | 0.64
|
|
|
|
|
|
|
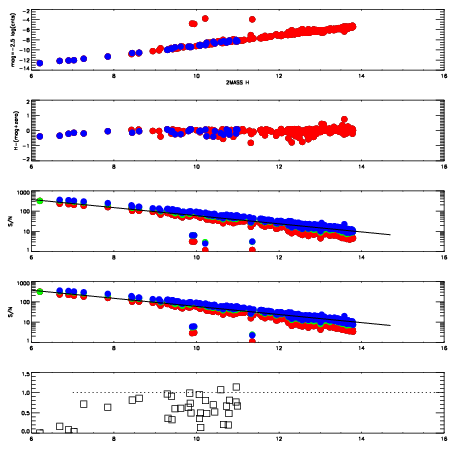
12760036
| 47
| | Red | Green | Blue
| z | | 19.15
| znorm | | 14.97
| sky | 14.4 | 14.5 | 14.8
| S/N | 16.7 | 26.9 | 29.5
| S/N(c) | 11.6 | 24.7 | 50.3
| SN(E/C) | 0.64
|
|
|
|
|
|
|
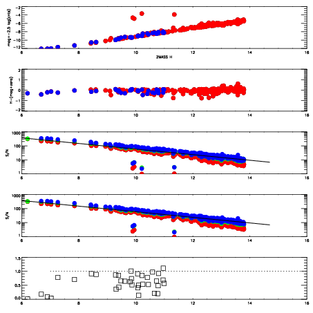
12760037
| 47
| | Red | Green | Blue
| z | | 19.18
| znorm | | 15.00
| sky | 14.3 | 14.6 | 14.8
| S/N | 17.2 | 27.7 | 29.9
| S/N(c) | 11.7 | 25.0 | 50.9
| SN(E/C) | 0.62
|
|
|
|
|
|
|
12760038
| 47
| | Red | Green | Blue
| z | | 19.20
| znorm | | 15.02
| sky | 14.4 | 14.6 | 14.7
| S/N | 17.2 | 28.0 | 29.8
| S/N(c) | 11.8 | 25.2 | 51.5
| SN(E/C) | 0.60
|
|
|
|
|
|
|
12760039
| 47
| | Red | Green | Blue
| z | | 19.22
| znorm | | 15.03
| sky | 14.4 | 14.7 | 14.9
| S/N | 17.3 | 28.3 | 29.8
| S/N(c) | 11.9 | 25.5 | 52.4
| SN(E/C) | 0.62
|
|
|
|
|
|
|
12760040
| 47
| | Red | Green | Blue
| z | | 19.20
| znorm | | 15.02
| sky | 14.4 | 14.7 | 14.9
| S/N | 17.2 | 27.8 | 30.1
| S/N(c) | 11.8 | 25.4 | 51.8
| SN(E/C) | 0.61
|
|
|
|
|
|
|
12760041
| 47
| | Red | Green | Blue
| z | | 19.20
| znorm | | 15.02
| sky | 14.5 | 14.7 | 14.9
| S/N | 17.0 | 27.6 | 29.9
| S/N(c) | 11.6 | 25.4 | 51.1
| SN(E/C) | 0.63
|
|
|
|
|
|
|