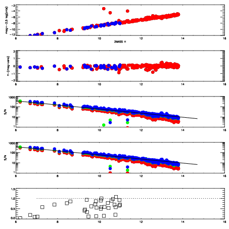
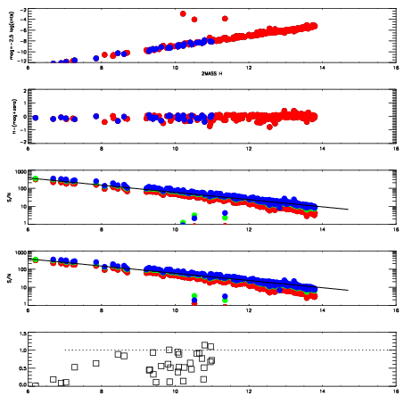
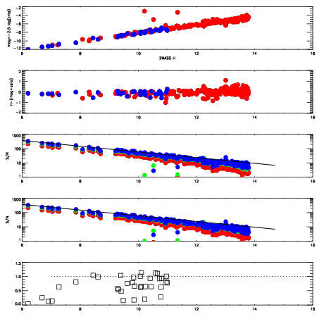
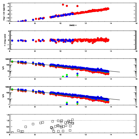
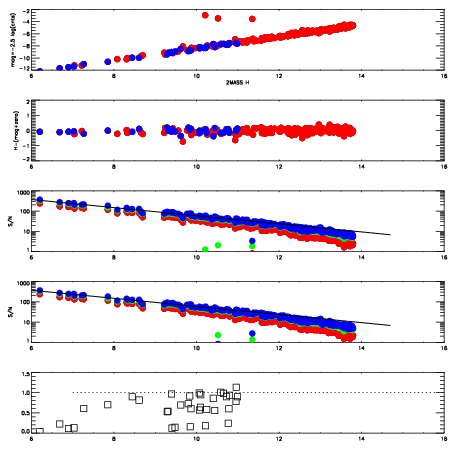
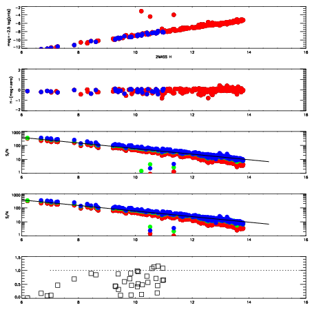
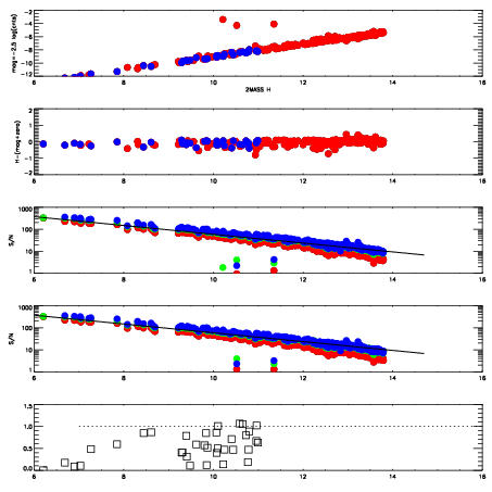
Frame | Nreads | Zeropoints | Mag plots
| Spatial mag deviation
| Spatial sky 16325A emission deviations (filled: sky, open: star)
| Spatial sky continuum emission
| Spatial sky telluric CO2 absorption deviations (filled: H < 10)
|
12730055
| 47
| | Red | Green | Blue
| z | | 18.31
| znorm | | 14.13
| sky | 14.4 | 14.2 | 14.4
| S/N | 8.0 | 15.1 | 16.5
| S/N(c) | 16.8 | 26.3 | 15.2
| SN(E/C) | 0.66
|
|
|
|
|
|
|
12730056
| 47
| | Red | Green | Blue
| z | | 18.95
| znorm | | 14.77
| sky | 14.4 | 14.2 | 14.5
| S/N | 12.9 | 22.7 | 24.3
| S/N(c) | 25.6 | 36.4 | 20.9
| SN(E/C) | 0.59
|
|
|
|
|
|
|
12730057
| 47
| | Red | Green | Blue
| z | | 19.07
| znorm | | 14.89
| sky | 14.2 | 14.3 | 14.6
| S/N | 14.2 | 24.5 | 26.4
| S/N(c) | 28.2 | 39.9 | 22.4
| SN(E/C) | 0.57
|
|
|
|
|
|
|
12730058
| 47
| | Red | Green | Blue
| z | | 19.15
| znorm | | 14.97
| sky | 14.2 | 14.3 | 14.4
| S/N | 14.7 | 25.3 | 27.0
| S/N(c) | 29.1 | 41.2 | 23.4
| SN(E/C) | 0.52
|
|
|
|
|
|
|
12730059
| 47
| | Red | Green | Blue
| z | | 19.06
| znorm | | 14.87
| sky | 14.3 | 14.2 | 14.4
| S/N | 13.8 | 23.6 | 25.2
| S/N(c) | 28.1 | 39.7 | 22.8
| SN(E/C) | 0.53
|
|
|
|
|
|
|
12730060
| 47
| | Red | Green | Blue
| z | | 17.70
| znorm | | 13.51
| sky | 14.4 | 14.3 | 14.7
| S/N | 5.0 | 11.0 | 11.5
| S/N(c) | 11.3 | 19.0 | 10.9
| SN(E/C) | 0.85
|
|
|
|
|
|
|
12730061
| 47
| | Red | Green | Blue
| z | | 18.48
| znorm | | 14.30
| sky | 14.3 | 14.4 | 14.6
| S/N | 10.2 | 18.4 | 19.8
| S/N(c) | 19.6 | 29.4 | 17.8
| SN(E/C) | 0.64
|
|
|
|
|
|
|
12730062
| 47
| | Red | Green | Blue
| z | | 18.92
| znorm | | 14.74
| sky | 14.4 | 14.5 | 14.5
| S/N | 13.0 | 22.6 | 24.2
| S/N(c) | 26.2 | 37.5 | 21.6
| SN(E/C) | 0.55
|
|
|
|
|
|
|