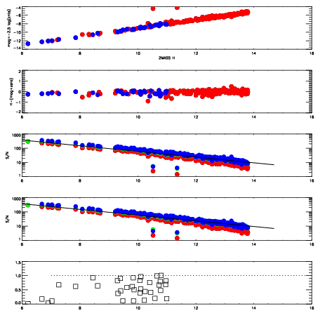
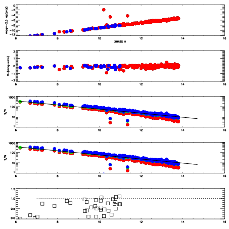
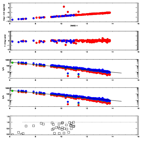
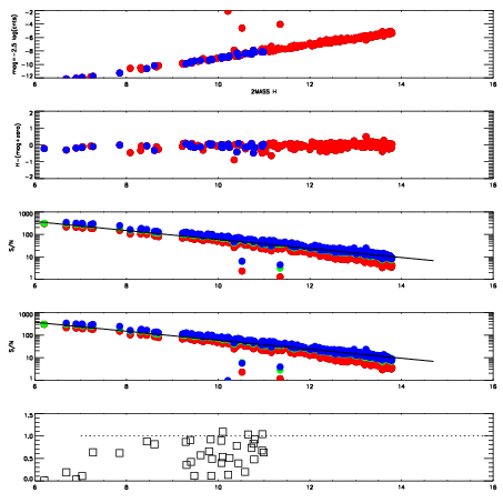
Frame | Nreads | Zeropoints | Mag plots
| Spatial mag deviation
| Spatial sky 16325A emission deviations (filled: sky, open: star)
| Spatial sky continuum emission
| Spatial sky telluric CO2 absorption deviations (filled: H < 10)
|
12750047
| 47
| | Red | Green | Blue
| z | | 19.13
| znorm | | 14.95
| sky | 14.5 | 14.5 | 14.7
| S/N | 15.0 | 24.3 | 25.9
| S/N(c) | 24.0 | 3.1 | 14.9
| SN(E/C) | 0.58
|
|
|
|
|
|
|
12750048
| 47
| | Red | Green | Blue
| z | | 19.10
| znorm | | 14.92
| sky | 14.5 | 14.7 | 15.0
| S/N | 14.0 | 23.7 | 24.9
| S/N(c) | 23.5 | 3.0 | 14.8
| SN(E/C) | 0.63
|
|
|
|
|
|
|
12750049
| 47
| | Red | Green | Blue
| z | | 19.08
| znorm | | 14.90
| sky | 14.8 | 14.8 | 15.1
| S/N | 14.3 | 23.3 | 25.3
| S/N(c) | 23.4 | 3.0 | 14.8
| SN(E/C) | 0.61
|
|
|
|
|
|
|
12750050
| 47
| | Red | Green | Blue
| z | | 19.10
| znorm | | 14.92
| sky | 14.4 | 14.6 | 15.0
| S/N | 14.7 | 23.8 | 25.9
| S/N(c) | 23.5 | 3.1 | 14.8
| SN(E/C) | 0.59
|
|
|
|
|
|
|
12750051
| 47
| | Red | Green | Blue
| z | | 19.12
| znorm | | 14.94
| sky | 14.5 | 14.7 | 15.2
| S/N | 14.8 | 24.9 | 26.2
| S/N(c) | 23.7 | 3.1 | 15.1
| SN(E/C) | 0.62
|
|
|
|
|
|
|
12750052
| 47
| | Red | Green | Blue
| z | | 19.13
| znorm | | 14.95
| sky | 14.6 | 14.8 | 14.8
| S/N | 15.1 | 24.0 | 26.4
| S/N(c) | 24.3 | 3.1 | 15.3
| SN(E/C) | 0.59
|
|
|
|
|
|
|
12750053
| 47
| | Red | Green | Blue
| z | | 19.16
| znorm | | 14.98
| sky | 14.5 | 14.7 | 15.1
| S/N | 15.3 | 24.6 | 26.6
| S/N(c) | 24.7 | 3.1 | 15.5
| SN(E/C) | 0.59
|
|
|
|
|
|
|
12750054
| 47
| | Red | Green | Blue
| z | | 19.18
| znorm | | 15.00
| sky | 14.5 | 14.8 | 15.0
| S/N | 15.8 | 25.3 | 27.6
| S/N(c) | 25.5 | 3.2 | 15.6
| SN(E/C) | 0.61
|
|
|
|
|
|
|